单元全练全测 - 第六单元全练全测
第一题

2. - + + -
第三题
1. B 2. C 3. A
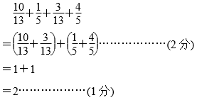
4. 分析:此题用简便方法计算。观察算式发现:
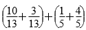
和
是同分母分数,可结合起来先算。计算这道题时,要把小括号去掉,小括号前面是减号,因此去掉小括号后此题转化成了一道连减算式题。
解答:B
第四题

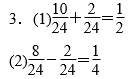
2.分析:观察算式
发现:可以先把分母相同的加数结合起来,运用加法交换律和加法结合律把算式变成
,再进行计算比较简便。
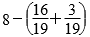
是一道连减算式,观察发现:两个减数的分母相同,可以先把两个减数结合起来,再用8去减,把算式变成
进行计算比较简便。
计算
时,先把括号去掉,再重新把分母相同的加数结合起来,把算式变成
进行计算比较简便。
计算
时,把分母相同的加数结合起来,把算式变成
进行计算比较简便。
解答:




第五题
下图阴影部分可表示出计算结果,即计算结果是
。

第六题

2.(1)牛奶 猪肉 
(2)(所提问题不唯一)每千克芹菜的含钙量比每千克猪肉和每千克鸡蛋的含钙量之和多几分之几?


