3.分数加减混合运算 - (1)分数加减混合运算(一)
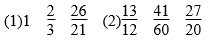
第1题

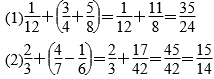
第2题

第3题

第4题

第5题

第6题

第7题

表示废纸比金属和塑料占垃圾总数的和多多少。
第8题
分析:画如下示意图:

①表示的是获一等奖的人数占获奖总人数的几分之几,②表示的是获二等奖的人数占获奖总人数的几分之几,③表示的是获三等奖的人数占获奖总人数的几分之几,则①+②表示的是获一、二等奖的人数占获奖总人数的
,①+③表示的是获一、三等奖的人数占获奖总人数的
,①+②+③表示的是获一、二、三等奖的人数,即单位“1”。那么
+
就是①+②+①+③,从这里去掉①+②+③,即单位“1”,剩下的就是①,就是获一等奖的人数占获奖总人数的几分之几;获一等奖的人数占获奖总人数的几分之几知道了,根据已知条件就能分别求出获二、三等奖的人数占获奖总人数的几分之几了。
解答:
…………(5分)
答:获一等奖的人数占获奖总人数的
。…………(1分)
(2)
…………(5分)
答:获三等奖的人数占获奖总人数的
。…………(1分)
(3)
…………(5分)
答:获二等奖的人数占获奖总人数的
。…………(1分)
第9题
分析:观察图形,先明确大正方形中每个小图形的面积各占大正方形面积的几分之几,再按要求回答问题。

图形1、图形2、图形3的面积各占大正方形面积的
,图形6的面积占大正方形面积的
,图形4、图形5、图形7、图形8、图形9、图形10的面积各占大正方形面积的
。
解答:(1)
…………(6分) (2)
…………(6分) (3)
…………(6分)