4.式与方程 - 精版答案
第1题

第2题
(1)2a+33 (2)b-2.5y

(4)m+n-1
第3题
(1)× (2)× (3)× (4)× (5)√
第4题
(1)C (2)C
第5题

第6题
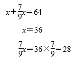
解:设六年级有x名运动员,则五年级有
名运动员。

第9题
解:设经过x小时,钟状菌反而比竹子高10.5厘米。
25x-(10.5+1.25x)=10.5 x≈0.9
第10题
解:设这四个数中最小的一个数是x。
x+(x+1)+(x+7)+(x+8)=60 x=11
第11题
12×3-A=20 36-A=20 A=16
15×3-16=29
第12题
分析:将水果的总质量看作单位“1”,水果干物质的质量是水果总质量的(1-90%),根据一个数乘分数的意义,求出水果干物质的质量;一个星期后,水果的含水量变为80%,即现在水果总质量的(1-80%)是水果干物质的质量,根据已知一个数的几分之几是多少,求这个数,用除法计算。
解答:100×(1-90%)÷(1-80%)=50(千克) …………(10分)
答:现在这种水果的总质量是50千克。