1.解决问题的策略(一) - 精版答案
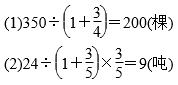
第1题

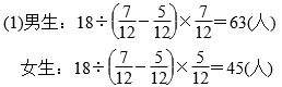
第2题

或63-18=45(人)
(2)第二天:240÷(1+60%)=150(页)
第一天:240-150=90(页)或150×60%=90(页)

或100-80=20(千克)
第3题
分析:倒出24千克油后,桶里的油正好还剩
,说明倒出整桶油的
,从而可以求出整桶油的质量,即24÷
=60(千克)。再用油和桶的总质量减去油的质量,可以求出桶的质量,即85-60=25(千克)。
解答:

85-60=25(千克) …………(9分)
答:油桶重25千克。…………(10分)
第4题
