单元全练全测 - 第六单元全练全测
第一题
1. -15.7 80% 68 2.21 9 75 七五 0.75
4.4 24 ※【浙江专用】8
5.分析:【方法一】 当圆柱和圆锥等底等高时,圆锥的体积是圆柱体积的
,如果圆柱的体积为3份,那么圆锥的体积为1份,相差2份,所以圆柱的体积为30÷2×3=45(cm3),圆锥的体积为45÷3=15(cm3)。
【方法二】 把圆柱的体积看作单位“1”,和它等底等高的圆锥的体积为
,根据体积之差是30 cm3,可求出圆柱的体积为30÷
=45(cm3),则圆锥的体积为45-30=15(cm3)。
解答:45 15
6.2∶3
第二题
1.A 2.B 3.B 4.A 5.C
第三题
1.14 24 2.x=12 
第四题
1.3 3 2.4 1
3.北 东 30 3(或东 北 60 3)
第五题
1.(96×3+99)÷4=96.75(分)
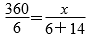
2.分析:“照这样的速度”是指每天修的长度不变,即360÷6=60(m)(一定),所以可用正比例知识解答。设这段公路的全长是x m,共用了6+14=20(天)修完,可列出正比例关系式
,解得x=1200,即这段公路的全长是1200 m。
解答:解:设这段公路的全长是x m。……(1分)

答:这段公路的全长是1200米。……(6分)
3.解:设天安门广场的面积是x万平方米。
2x-16=72 x=44
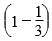
※【浙江专用】小红:30÷(1-40%)=50(分)
小明:50-30=20(分)
4.分析:32支球队平均分成8个小组,每个小组有4支球队,每个小组进行单循环比赛,即每两支球队之间都要进行比赛,一共要进行6场比赛,8个小组共进行6×8=48(场)比赛。获胜的16支球队进行单场淘汰赛,即一场淘汰一支球队,进前8名要进行8场比赛,由前8名进前4名时,要进行4场比赛,剩前4名时,先进行2场比赛,每场赢的球队再比赛一场决出冠军、亚军,输的两支球队也要比赛一场,决出季军和第四名,所以一共要进行6×8+8+4+2+2=64(场)比赛。
解答:32÷8=4(支)……(1分)
3+2+1=6(场)……(2分)
8×6=48(场)……(3分)
16÷2=8(场)……(4分)
8÷2=4(场)……(5分)
进前4的4支球队还要进行4场比赛决出冠军、亚军、季军和第四名。所以本次比赛一共要进行48+8+4+4=64(场)。……(7分)
答:本次比赛一共要进行64场。……(8分)