人教版●六年级数学(下册)

单元全练全测 - 第三单元全练全测

第一题

1.圆锥 高 底面半径 2.423.9 

3.28.26 282.6 4.3943.84 4571.84 

5.2 cm2

第二题

1.√ 2.√ 3.× 4.× 5.×

第三题

1.A 2.B D 3.D  ※【浙江专用】A 4.C

第四题

1.3.14×(6÷2)2×8×=75.36(dm3

2.表面积:10×10×5+3.14×(10÷2)2+3.14×10×10÷2=735.5(cm2

体积:10×10×10+3.14×(10÷2)2×10÷2=1392.5(cm3

第五题

1.半小时是30分钟。3.14×1.2×20×30=2260.8(m2

2.分析:吸油烟机的体积=底面积×高,底面是扇形,扇形的面积=πr2×

解答:3.14×452××75=79481.25(cm3)≈79(dm3

3.3.14×6×5=94.2(cm2

3.14×(6÷2)2×15=423.9(cm3

4.方法一

分析:已知圆锥形黄豆堆的底面周长和高,可以求出这个圆锥形黄豆堆的底面半径和它的体积。把圆柱形粮仓的体积看作单位“1”,那么圆锥形黄豆堆的体积正好是圆柱形粮仓体积的,求单位“1”用除法计算。根据圆柱的体积公式,已知体积和高,可以求出底面积。

解答:分步列式:15.7÷3.14÷2=2.5(m)……(3分)

×3.14×2.52×1.8÷÷2.5=14.13(m2)……(8分)

综合列式:×3.14××1.8÷÷2.5……(5分)

×3.14×6.25×1.8÷÷2.5………………(7分)

=14.13(m2)…………(8分)

答:其内底面积是14.13 m2。…………(9分)

方法二

分析:根据圆锥形黄豆堆的体积正好是圆柱形粮仓体积的可以列方程解答。设圆柱形粮仓的内底面积为x m2,则列方程为×3.14× ×1.8=×2.5x,解得x=14.13,所以圆柱形粮仓的内底面积是14.13 m2

解答:解:设其内底面积是x m2。……(2分)

×3.14××1.8=×2.5x……(6分)

                 x=14.13……(8分)

答:其内底面积是14.13 m2。……(9分)

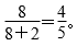
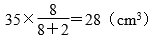
5.分析:因为胶水瓶正放和倒放时的容积与胶水的体积不变,所以胶水瓶正放和倒放时空余部分的容积相等。因此胶水瓶的容积就相当于一个高为8+2=10(cm)的圆柱形容器的容积,由此可知胶水的体积占胶水瓶容积的

解答:…………(8分)

答:瓶内胶水的体积是28 cm3。…………(9分)

 

小学教材全练