6.比和比例 - 精版答案
第1题
(1)4∶5 5∶9 (2)3∶1 3
第2题
(1)× (2)√ (3)× (4)√
第3题
x=3 x=32 x=25 x=9
第4题

500÷40=12.5(m2)
375÷30=12.5(m2) 300÷30=10(m2)
12.5=12.5>10,C区域最拥挤。
第5题
(1)B A (2)A (3)B
第6题
9 1
第7题

第8题
解:设小树的影长是x m。

第9题
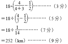
分析:已知客车与货车的速度比是4∶3,则客车行驶的路程占全程的
,中点到A、B两地的距离各占全程的
,客车行驶的路程比中点到A地的距离多了全程的
,即多了18 km,用18÷即可求出A、B两地相距多少千米。
解答:

答:A、B两地相距252 km。…………(10分)