2.数的认识(二) - 精版答案
第1题
(1)10 4 30 80 (2)6 9 24 12 83.3
(3)2 64 192 96 (4)70 105 84
第2题
(1)B (2)C
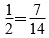
(3)分析:本题考查了分数的基本性质。
方法一:根据“甲数的
等于乙数的
”可列出算式甲×
=乙×
,因为
>
,所以甲<乙。
方法二:根据题目可写出比例式:
,再解比例:
,所以甲<乙。
解答:B
(4)C
第3题
20.7 103.08 37.808 1083.07 42.408 7.042
第4题
5.40 5.400
第5题

第6题
(1)1.5 (2)15 (3)4.5 (4)4.5 (5)15 (6)15000
第7题
分析:如果把2小格看作一份,那么阴影部分还可以用
表示;如果把5小格看作一份,那么阴影部分还可以用
表示;如果把10小格看作一份,那么阴影部分还可以用
表示。
解答:
第8题
(1)实际长:1.2×100=120(m)
实际宽:0.8×100=80(m)
比例尺:
(2)120×80=9600(m2)
第9题
29.7÷(100-1)=0.3
0.3+0.3×100=30.3
第10题
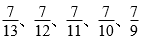
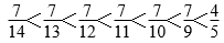
【方法一】 分析:从
入手,先把
化成分子是7的真分数
,根据分子相同,分母小的分数值反而大的规律,可写出大于
且分子是7的最简真分数有
,共6个,其中
,不符合题意,其余5个最简真分数为正确答案。
解答:
…………(2分)
…………(5分)
所以大于
而小于
,且分子是7的最简真分数有5个,分别是
。…………(7分)
【方法二】 分析:题中的3个分数不相等,但是分子已知,可以根据分数的基本性质化成分子相同的分数,即
⇒56>□×4>35, 14>□>8.75,所以□代表的数可以是13、12、11、10、9,那么符合题意的最简真分数为
。
解答:
…………(3分)
因为
,所以□代表的数可以是13、12、11、10、9。…………(5分)
由此可知,大于
而小于
,且分子是7的最简真分数有5个,分别是
。…………(7分)
第11题
【方法一】 分析:原分数化简后是
,把
转化成2:3,即2+3=5(份)。因为分子和分母的和是90,与5份相对应,所以用90÷5求出每份是18,再求出分子为18×2=36,分母为18×3=54,所以原分数为
。
解答:3+2=5…………(2分)
90÷5=18…………(4分)
…………(7分)
答:这个分数原来是
。…………(8分)
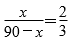
【方法二】 分析:可设这个分数的分子是x,则分母是(90-x),可列方程
,求出x的值,就可以求出这个分数原来是多少了。
解答:解:设这个分数的分子是x,则分母是(90-x)。
…………(2分)
3x=(90-x)×2…………(4分)
5x=180
x=36…………(6分)
90-36=54…………(7分)
答:这个分数原来是
。…………(8分)