单元全练全测 - 第二单元全练全测
第一题

第二题
1.× 2.√ 3.√ 4.√ 5.×
第三题
< < < = > <
第四题
1.C 2.C 3.A 4.B
第五题




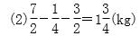
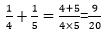
第六题





第七题
分析:观察给出的算式会发现如下规律:(1)
,两个互质数的倒数相加,这两个互质数的乘积作为和的分母,两个互质数的和作为和的分子。(2)
,两个互质数的倒数相减,这两个互质数的乘积作为差的分母,两个互质数的差作为差的分子。
解答:
…………(2分)
…………(4分)
…………(6分)
…………(8分)