4.异分母分数加减 - (2)分数加减混合运算(一)
第1题

第2题
(1)× (2)√
第3题

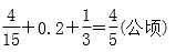
第4题


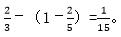
第5题

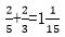
第6题

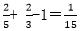
第7题

第8题
分析:在整个过程中,因为没有向杯子里倒奶,所以一共喝了1杯牛奶;第一次小华喝了一杯牛奶的
,然后用水注满,就是向杯子里加了
杯水;第二次小华喝了这杯的
,再加满水,就是向杯子里加入
杯水;同理,第三次向杯子里加入
杯的水。这三次一共向杯子里加入
+
+
=
(杯)水。最后小华把这杯都喝了,即小华就喝了一杯牛奶和
杯的水,
>1所以,她喝的水多。
解答:
她喝的水多。…………(9分)
答:她喝的水多。…………(10分)
第9题
(1)一、三 一、二、三

(3)分析:方法一:一等奖+二等奖+一等奖+三等奖=
,也就是获奖总人数加上获一等奖的人数占单位“1”的几分之几,再减去1就是获一等奖人数占获奖总人数的几分之几。即
方法二:获一、二等奖的人数占获奖总人数的
,那么获三等奖的人数就占获奖总人数的
。获一、三等奖的人数占获奖总人数的
,那么获一等奖人数占获奖总人数的
即
解答:(1)一、三 一、二、三 ……(4分)
(2)
……(10分)
……(17分)