期末综合全练全测 - 精版答案
第一题

第二题
1.× 2.× 3.× 4.√ 5.× 6.×
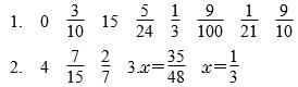
第三题
1.C 2.B 3.B 4.C 5.A B
第四题

第五题
1. 9 5 (9,5) 大门
2. 综合楼和体育馆在同一列,教学楼和大门在同一列,宿舍和音美教学楼在同一列;体育馆、教学楼和宿舍在同一行,综合楼和音美教学楼在同一行。
第六题
2.
分析:
淘气一家3口和笑笑一家4口一共是7个人,餐费一共是210元,按人数分摊餐费就是把210元平均分成7份,每份是210÷7=30(元),淘气一家3口是3份,应付30×3=90(元);笑笑一家4口是4份,应付30×4=120(元)。
解答:
210÷(3+4)=30(元)……(1分)
淘气一家:30×3=90(元)……(1分)
笑笑一家:30×4=120(元)……(1分)
答:淘气家应付90元,笑笑家应付120元。……(1分)
3.
(1)8×4×5=160(立方分米)=160(升)
(2)(8×3+4×3)×2+8×4=104(平方分米)
(3)8×4×0.2=6.4(立方分米)