学习领域专项全练全测(一)数与代数 - 精版答案
第一题

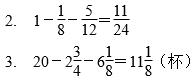
第二题
1.√ 2.× 3.× 4.× 5.×
第三题
1.B 2.B 3.C 4.A 5.B 6.C
第四题

第五题
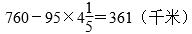
1.(1)
分析:
已知甲、乙两城之间的高速公路长760千米,张叔叔开车平均每小时行95千米,
小时后到达高速公路服务区,则张叔叔已经行了
(千米),张叔叔还要行760-399=361(千米)。
解答:
……(1分)
答:张叔叔还要行361千米才能到达乙城。……(2分)

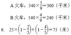
5. 相遇时A、B两列火车所行驶的路程比是5∶4。 5+4=9
