第八单元全练全测 - 精版答案
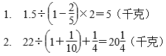
第一题

第二题
1.√ 2.× 3.√ 4.×
第三题
1.A 2.C 3.B 4.B 5.B
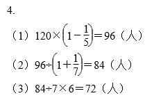
第四题

第五题

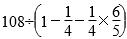
3.
分析:
从题中可知,第二个月修的长度与第一个月修的长度的比是6∶5,即第二个月修的长度是第一个月的
,也就是这条公路全长的
,剩余的108千米所对应的分率就是
,根据等量关系式“这条公路的全长×
=没有修的长度”列出算式为
。
解答:



1.√ 2.× 3.√ 4.×
1.A 2.C 3.B 4.B 5.B


3.
分析:
从题中可知,第二个月修的长度与第一个月修的长度的比是6∶5,即第二个月修的长度是第一个月的
,也就是这条公路全长的
,剩余的108千米所对应的分率就是
,根据等量关系式“这条公路的全长×
=没有修的长度”列出算式为
。
解答:


小学教材全练