综合全练全测 - 期中综合全练全测
第一题
1.轴对称 无数 2.6 80 37.5
3.百分之一百点一 1.03%
4.20%
5.98.5%
6.

7.直角
8.5∶2 2.5
9.32
10.1、2、3、6、9、18 1∶3=2∶6(第2个空答案不唯一)
第二题
1.√ 2.× 3.√ 4.√ 5.×
第三题
1.C 2.A 3.C 4.B 5.C
第四题
x=5.76
x=2.4

x=49
第六题
1.(1)200×100+3.14×(100÷2)2=27850(m2)
(2)3×(3.14×100+200×2)=2142(m)
2.水泥:700千克 沙子:1050千克
白灰:1750千克
3.30÷80=37.5%
(80-20)÷80=75%
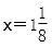
4.分析:(1)由题意可知,把一段路程看作“单位1”,甲5小时走完,即每小时走全程的
,同理,乙每小时走全程的
。他们的速度比就是
∶
=3∶5。
解答:
∶
=3∶5
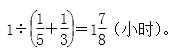
分析:(2)根据“时间=路程÷速度”可知,把路程看作“单位1”,甲、乙的速度和为
+
=
,所以两人几小时后相遇为
解答:

5.3.14×(8÷2+1)2-3.14×(8÷2)2=28.26(平方米)
6.24÷12%=200(页)
200-24-200×35%=106(页)