5.稍复杂的分数除法应用题 - 精版答案
第2题

第3题
C
第4题
(1)该品牌电视机的原价
(2)该品牌电视机的现价是原价的几分之几
(3)该品牌电视机的原价
第5题
(1)
分析:
根据题意可写出等量关系式:雪松的寿命+柏树比雪松长的寿命=柏树的寿命或雪松的寿命×
=柏树的寿命,设雪松的寿命是x年,根据等量关系式列出的方程是x+
x=3000或x×
=3000,解方程可得出雪松的寿命。
解答:
解:设雪松的寿命是x年。……(1分)
x+
x=3000
x=2000……(4分)
或x×
=3000
x=2000
答:雪松的寿命是2000年。……(1分)
(2)解:设自行车的原价是x元。……(1分)
x×
=220
x=240……(2分)
240-220=20(元)……(2分)
答:自行车的现价比原价便宜20元。……(1分)
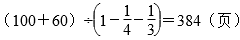
第6题

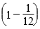
第7题

第8题

第9题

第10题

第11题
解:设面值为20元的人民币有x张,则面值为50元的人民币有
x张。
