3.稍复杂的分数乘法应用题(一) - 精版答案
第1题
(1)一袋米的质量 (2)玉米的种植面积
第2题
(1)这段公路的总长度
这段公路的总长度

第3题

第4题

第5题
分析:
两天共植500棵树,第一天植了
,就是500棵的
,即500×
=300(棵);第二天植的就是用总数500减去第一天植的,即500-300=200(棵)。或者把这些树看作单位“1”,第一天植了
,第二天植的就是1-
=
,即500×
=200(棵)。
解答:

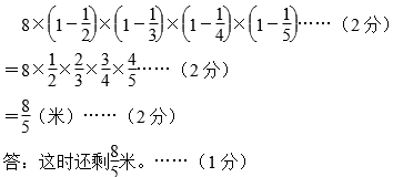
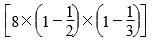
第6题
分析:
第一次用去全长的
,剩下
米;第二次用去剩下的
,还剩
米;第三次用去剩下的
,还剩
米;第四次用去剩下的
,还剩
米。
解答:

第7题
