2.整数运算定律的推广 - 精版答案
第1题

第2题
③ ④ ⑤ ①②
第3题
分析:
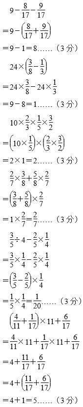
此题要求用简便方法计算,其中9--可以用被减数减去两个减数的和进行简算;24×,×+×,÷4-×可以运用乘法分配律进行简算;10×××可以运用乘法交换律和乘法结合律把算式转化为×进行简算;×11+可以运用乘法分配律和加法结合律把算式转化为4++=4+进行简算。
解答:

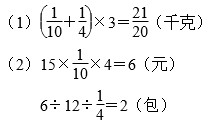
第5题

第6题

第7题

第8题

第9题

第10题

第11题


③ ④ ⑤ ①②
分析:
此题要求用简便方法计算,其中9--可以用被减数减去两个减数的和进行简算;24×,×+×,÷4-×可以运用乘法分配律进行简算;10×××可以运用乘法交换律和乘法结合律把算式转化为×进行简算;×11+可以运用乘法分配律和加法结合律把算式转化为4++=4+进行简算。
解答:








小学教材全练