1.连加 - 精版答案
第1题
(竖排)40 96 96 60 79 79
第2题
79 56
第3题

第4题
> > < >
第5题
20+48+6=74(元)
第6题
38+13+14=65(枚)
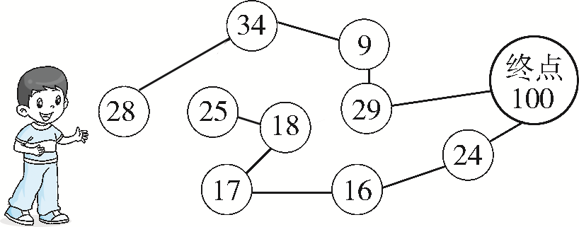
第7题
分析:题中已经给出了2条路线的起点,先计算28+34=62,因为62+38=100,所以找出剩下的数的和正好是38的数。因为9+29=38,所以28+34+9+29=100,将这条路线涂上颜色。同理25+18=43,因为43+57=100,所以找出剩下的数的和正好是57的数。因为17+16+24=57,所以25+18+17+16+24=100,将这条路线也涂上颜色。
解答:
