3.求一个数的几分之几是多少 - 精版答案
第1题

(2)120 钝 90 直
(3)3
第2题
(1)× (2)√ (3)√
第3题


第4题

第5题

第6题


第7题
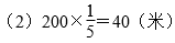
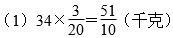
分析:
第一次剪去它的
,
不是具体长度,具体长度是
米的
,列式为
。第二次剪去
米,这里的
是一个具体长度。用总米数分别减去两次剪去的米数,就可以求出还剩多少米。
解答:


(2)120 钝 90 直
(3)3
(1)× (2)√ (3)√






分析:
第一次剪去它的
,
不是具体长度,具体长度是
米的
,列式为
。第二次剪去
米,这里的
是一个具体长度。用总米数分别减去两次剪去的米数,就可以求出还剩多少米。
解答:

小学教材全练