3.一个数除以小数 - 精版答案
第1题
(1)186 8370 45 186 A×10
(2)4.2 1 5400 3600
第2题
68 28 72 5.25
第3题
(1)
(2)

第4题
24 6 4.8 4 1.5 大于 等于 小于
第5题
> < < < > =
第6题
32.3÷3.8=8.5
第7题
分析:净重2.5 kg的面粉的售价是18.5元,每千克的价钱是18.5÷2.5=7.4(元);净重5 kg的面粉的售价是27.6元,每千克的价钱是27.6÷5=5.52(元)。因为5.52<7.4,所以买净重5 kg的面粉比较便宜。
解答:18.5÷2.5=7.4(元) ……(3分)
27.6÷5=5.52(元) ……(5分)
5.52<7.4,买净重5 kg的面粉比较便宜。……(7分)
第8题
(1)6.5499×300=1964.97(元)
(2)13099.8÷6.5499=2000(元)
第9题
东东:61.6÷(10+1)=5.6(元)
宁宁:5.6×10=56(元)
第10题
分析:(1)一根绳子长8.4米,对折一次,折成2段,每段长8.4÷2=4.2(米)。
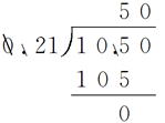
(2)连续折三次,就折成了8段,每段长8.4÷8=1.05(米)。
(3)一根铁丝长51.2米,连续对折三次,就折成了8段,也就是把这根铁丝平均分成了8份,每段长51.2÷8=6.4(米)。
解答:(1)2 4.2……(4分)
(2)8 1.05……(8分)
(3)51.2÷8=6.4(米) ……(11分)
答:每段长6.4米。……(12分)