一 快乐的校园——10以内数的认识 - 2.认识5以内的数(二)
第1题
2 5 1 3
第2题
2 3 4
第3题
△△ ☆☆☆
第4题
2 1
第6题
分析:每个盘子里都有4条鱼,第一个盘子里剩一条鱼,小白猫吃了4-1=3(条)鱼;第二个盘子里剩2条鱼,小灰猫吃了4-2=2(条)鱼。
解答: 3……(4分) 2……(8分)
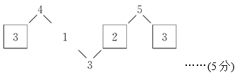
第8题
分析:(1)因为3可以分成1和2,3也可以分成2和1,所以第1个□和第2个□里的数不能确定。因为5可以分成1和4,所以第2个□里应该填1。由此可知,第1个□里应该填2。(2)因为4可以分成3和1,3可以分成1和2,所以第1个□里应该填3,第2个□里应该填2。因为5可以分成2和3,所以第3个□里应该填3。
解答:
(1)

(2)
