10.分数的大小 - 精版答案
第2题

第3题
> > > < = <
第4题

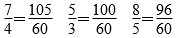
因为
,所以
,即山地的面积最大。
第6题

因为
,所以
,即小刚跳得最快。
第7题
分析:从图中可知甲线段的
等于乙线段的
,即甲、乙两条线段露出的部分是相等的。根据甲线段露出的部分占全长的
可知,甲线段的长是甲线段露出部分的2倍。同理,乙线段的长是乙线段露出部分的3倍,所以乙线段比甲线段长。
解答:乙线段长。

> > > < = <

因为
,所以
,即山地的面积最大。

因为
,所以
,即小刚跳得最快。
分析:从图中可知甲线段的
等于乙线段的
,即甲、乙两条线段露出的部分是相等的。根据甲线段露出的部分占全长的
可知,甲线段的长是甲线段露出部分的2倍。同理,乙线段的长是乙线段露出部分的3倍,所以乙线段比甲线段长。
解答:乙线段长。
小学教材全练