5.简单的分数加、减法 - 精版答案
第1题
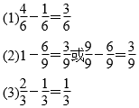
(1)2 3 5
(2)9 
第2题

第3题

第4题
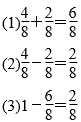
(1)3 2 1
(2)3 
第5题

第6题

第7题

第8题

第9题
小强喝的牛奶和水一样多,都喝了1杯。
第10题
分析:要求有几种填法,就要进行有序思考。第一道算式:
,这是一道同分母分数加法题,只要两个分子相加等于5就可以了。因为0+5=5,1+4=5,2+3=5,所以有3种填法,即
第二道算式:
,这是一道同分母分数减法题,只要两个分子相减等于1就可以了。因为10-9=1,9-8=1,8-7=1,7-6=1,6-5=1,5-4=1,4-3=1,3-2=1,2-1=1,1-0=1,所以有10种填法,即




解答:有3种填法:

有10种填法:




