综合全练全测 - 期末综合全练全测
第一题

5.分析:根据“所得分数约分后是
”,可以看成分子是2份,分母是3份,2+3=5(份),5份所对应的数量是48+1+1=50。每份是50÷5=10,那么现在的分子是10×2=20,分母是10×3=30,分数是
,分数的分子和分母分别减去1,
,原来的分数是
。
解答:
6.9
7.36 54 90 直角
8.6∶5
9.
10.
11.90%
12.可能 不可能
第二题
1.× 2.× 3.√ 4.× 5.×
第三题
1.C
2.A
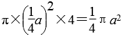
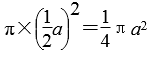
3.分析:假设正方形的边长为a,那么第一个图形中圆的面积是:
;第二个图形中4个圆的面积和是:
,这两个圆的面积相比,一样大,应该选C。
解答:C
4.B
5.B
第四题

第五题
1.正方形对角线的交点 正方形边长的一半(或2厘米)
2.正方形对角线的交点 正方形对角线长度的一半
3.3.14×
÷(4×4)=78.5%
第六题
1.6270÷
=5225(个)
2.(1)(1533+2155+1300+2016+1492)÷5=1699.2(米)
(2)1300÷2155≈60%
3.120÷4=30(厘米)
3.14×
=706.5(平方厘米)