专项全练全测 - 学习领域专项全练全测(一)
第一题
1.40 3500
3.b a b a 5 6 4.< = > >
5.
0.6 57.2% 0.57 6.18.75
7.95% 8.八月份的用水量 八月份比九月份多的用水量(或九月份比八月份少的用水量) 九月份的用水量
9.12 10.51
第二题
1.√ 2.√ 3.× 4.√ 5.×
第三题
1.C 2.B 3.A 4.B
5.分析:把老师布置的一些练习题看作单位“1”,即工作总量为“1”,用“工作总量÷时间=工作效率”分别求出小林和小丽完成的效率,小林的效率是1÷20=
,小丽的效率是1÷25=
,效率比是
∶
,化成最简比是
∶
=5∶4,因此选C。
解答:C
6.B
第四题
1.8
4 1
64%
2.1∶12 1∶6 6∶5 1∶16
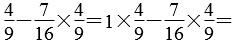
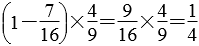
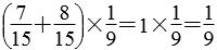
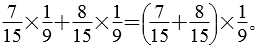
分析:三道题都可以运用乘法分配律进行变形,进而求出结果。其中100×
可以写成(99+1)×
;
可以写成
可以写成
。
解答:







4.x=14 x=
x=
第五题
1.(1)760-95×
=361(千米)
2.(答案不唯一)学校合唱队有48人,游泳队的人数是合唱队的
,乒乓球队的人数是游泳队的
,乒乓球队有多少人?

3.
4.100÷600≈16.7%
5.9000×
÷5=300(米)
9000×
÷300=25(分)
6.5+4=9
A列火车:540×
=300(千米)
B列火车:540×
=240(千米)