单元全练全测 - 第六单元全练全测
第一题
1.
2.90 330 3.10
4.6 5.
6.女生 男生 81
第二题
1.√ 2.× 3.√ 4.×
第三题
1.A 2.C 3.B 4.B 5.B
第四题
1.
10 21 25 4
2.
13 837 4
3.x=
x=20 x=
x=18
第五题

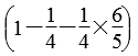
3.分析:从题中可知,第二个月修的长度与第一个月修的长度的比是6∶5,即第二个月修的长度是第一个月的
,是这条公路全长的
,还剩108千米所对应的分率就是
,根据等量关系式“这条公路的全长×
=没有修的长度”求这条公路的全长,列算式为
。
解答:108÷
=240(千米) (5分)
答:这条公路一共长240千米。 (6分)
4.(1)120×
=96(人)
(2)96÷
=84(人)