5.稍复杂的分数除法应用题 - 精版答案
第2题

第3题
C
第4题
(1)电视机的原价
(2)电视机的现价是原价的几分之几
(3)电视机的原价
第5题
(1)分析:根据“比雪松的寿命长
”写出的等量关系式是“雪松的寿命+比雪松长的寿命=柏树的寿命”或“雪松的寿命
=柏树的寿命”,设雪松的寿命是x年,根据等量关系式列出的方程是x+
x=3000或
,解方程可得出雪松的寿命。
解答:解:设雪松的寿命是x年。 (1分)
x+
x=3000 (3分)
x=2000 (5分)
或x×
=3000 (3分)
x=2000 (5分)
答:雪松的寿命是2000年。 (6分)
(2)解:设自行车的原价是x元。

x=240
240-220=20(元)
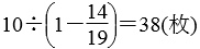
第6题

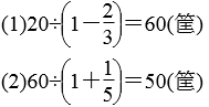
第7题

第8题

第9题

第10题

第11题
解:设面值为20元的人民币有x张,则面值为50元的人民币有
x张。
20x+
x×50=1000
x=25
x=
×25=10