4.分数乘除混合运算 - 精版答案
第1题

第2题

第3题

第4题
(1)A (2)B (3)C
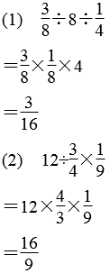
第5题

第6题

第7题
分析:根据题意可以先求出一共要装多少袋,也就是求240里面有多少个
,用除法计算,列式为240÷
。求已经装了多少袋,就是求一共要装的袋数的
是多少,用乘法计算,列式为240÷
×
。
解答:240÷
×
=720(袋) (5分)
答:已经装了720袋。 (6分)
第8题
分析:根据“白粉笔的支数是红粉笔的
”写出的等量关系式是红粉笔的支数×
=白粉笔的支数,白粉笔的支数=16×
。根据“白粉笔的支数是蓝粉笔的
”写出的等量关系式是蓝粉笔的支数×
=白粉笔的支数,蓝粉笔的支数=白粉笔的支数÷
=16×
÷
。
解答:16×
÷
=22(支) (6分)
答:蓝粉笔有22支。 (8分)
第9题

第10题

第11题
