1.分数除以整数 - 精版答案
第1题

第3题
(1)× (2)√ (3)× (4)×
第4题

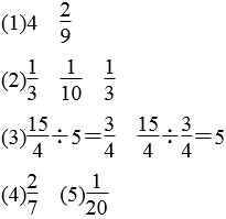
第5题

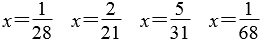
第6题

第7题

第8题
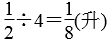
分析:马小虎将一个数除以4看成了乘4,计算后的结果是
,此时的
是两个因数的积,4是其中一个因数,原来的被除数是另一个因数,因为另一个因数=积÷一个因数,即
÷4=
,所以原来的被除数是
,那么正确的结果应该是
÷4=
。
解答:
÷4=
(3分)
÷4=
(6分)
答:正确的结果应该是
。 (8分)
第9题


第10题

第11题
