4.连续求一个数的几分之几是多少 - 精版答案
第1题
(1)AB (2)A
第2题
(1)分析:此题是看图列式计算,要读懂线段图,第一条线段表示杨树有120棵,把它平均分成4份,取其中的3份,就是柳树的棵数,即柳树的棵数是杨树的
,柳树的棵数是120的
,即120×
=90(棵)。再把柳树的棵数平均分成2份,其中的1份就是松树的棵数,即松树的棵数是柳树的
,也就是120×
的
,列式为120×
×
,计算即可求出松树的棵数。
解答:120×
×
=45(棵) (6分)
(2)180×
×
=108(人)
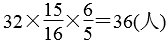
第3题

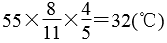
第4题
A
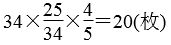
第5题
分析:已知笔记本电脑的价钱是6300元,冰箱的价钱是笔记本电脑的
,求冰箱的价钱也就是求6300的
是多少,列式为6300×
,根据洗衣机的价钱是冰箱的
,求洗衣机的价钱也就是求6300×
的
是多少,列式为6300×
×
。
解答:6300×
×
=2400(元) (7分)
答:买一台洗衣机要花2400元。 (8分)
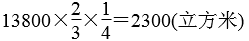
第6题

第7题

第8题

第9题

第10题

第11题
