学霸易错题 - 第三单元 小数除法
易错点1 笔算小数除法,不够除了,没有商0占位
例1 计算:10.8÷18=
错解 10.8÷18=6

错因剖析 此题错在除到被除数的整数部分的个位时,10除以18不够除,没有商0占位,就继续往下除了。
正确解答 10.8÷18=0.6

点拨 除到被除数的哪一位不够除时,一定要商0占位。
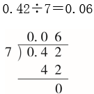
跟踪练习 用竖式计算。
0.42÷7= 7.8÷6=
答案

易错点2 不能正确保留商的近似数
例2 计算5.710÷3(得数保留两位小数。)
错解 5.710÷3≈1.9

错因剖析 此题错在所取的近似数与得数要求保留的小数位数不一致;当要保留的小数部分末位上的数为0时,0不能舍去。
正确解答 5.710÷3≈1.90

点拨 求商的近似数时,小数末尾的0不能去掉。
跟踪练习 计算:12.369÷9.5 18.26÷3.6(得数保留两位小数。)
答案

易错点3 循环小数的意义理解有误
例3 判断:585858.5858是循环小数。( )
错解 √
错因剖析 此题错在没有正确理解循环小数的意义,没有弄清楚有限小数和无限小数的区别。循环小数是无限小数。题中所给的数虽然是由5和8两个数字重复组成的,但这两个数字在小数部分只重复出现了两次,小数部分是四位小数,这是一个有限小数。
正确解答 ×
点拨 一个小数部分的位数是有限的小数,不可能是循环小数。循环小数一定是无限小数。
跟踪练习
1.填空。
在1.545454,1.3636…,3.087087…,8.7777中,有限小数有( ),无限小数有( ),循环小数有( )。
2.判断。
(1)3.666…是循环小数。( )
(2)12.858585是循环小数。( )
答案 1.1.545454,8.7777 1.3636…,3.087087 1.3636…,3.087087…
2.(1)√ (2)×