2.8、7加几 - 精版答案
第1题

第2题

第3题
× √ × √ √ ×
第4题
② ③
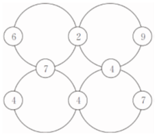
第6题
分析:要在小圈里填数字,使每个大圈上的三个数字相加的和都等于15,首先看左上角的大圈,6+2+○=15,即8+○=15,所以左上角的大圈中剩下的小圈里应填7。然后看左下角的大圈,4+7+○=15,即11+○=15,所以左下角的大圈中剩下的小圈里应填4。再看右下角的大圈,4+7+○=15,即11+○=15,所以右下角的大圈中剩下的小圈里应填4。最后看右上角的大圈,2+4+○=15,即6+○=15,所以右上角的大圈中剩下的小圈里应填9。
解答:
