三 走进花果山——10以内的加减法 - 9.10以内数的连加
第1题
(1)

(2)

第2题


第3题
8 9 10 10 9 10
第4题
(1)2+5+2=9
(2)3+2+1=6
第5题
3 4 2 3+4+2=9
第6题
分析:在计算一排一共有多少个小朋友时,不要忘记加上牛牛,可画图表示,用○代替小朋友,如图:

将三部分加在一起是2+1+7=10(个)。
解答:10
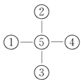
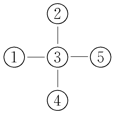
第7题
分析:方法一:在1、2、3、4、5这五个数中,因为1+4=5,2+3=5,所以将剩余的5填在图形的中间,将1和4填在一条线上,将2和3填在另一条线上即可。
方法二:因为2+5=7,3+4=7,所以将剩余的1填在图形的中间,将2和5填在一条线上,将3和4填在另一条线上即可。
方法三:因为1+5=6,2+4=6,所以将剩余的3填在图形的中间,将1和5 填在一条线上,将2和4填在另一条线上即可。
解答:(答案不唯一)

