专项全练全测 - 薄弱环节专项全练全测(一)
第一题
1.A 改正:

2.B 改正:

3.A 改正:

4.B 改正:

5.B 改正:

第二题

第四题
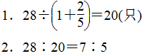
1.1∶15 5∶1
2.5 
第五题

第六题
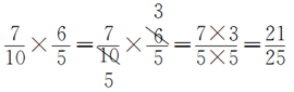
3∶2=6∶4
苹果∶梨∶橘子=5∶6∶4
240×
=64(kg)
第七题

第八题
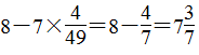
分析:本题考查了对分数应用题的掌握情况。根据 “一桶油连桶共重23 kg,用去油的
以后,连桶共重12 kg”可知,用去的油的质量就是23-12=11(kg)。也就是油总质量的
是11 kg,把桶中油的总质量看作单位“1”,根据对应数量÷对应分率=单位“1”的量,可以求出油的总质量,列式为11÷
=11×2=22(kg),从而求出桶的质量,列式为23-22=1(kg)。
解答:(23-12)÷
=22(kg)…………3分
23-22=1(kg)…………7分
第九题
分析:本题考查了对分数应用题以及比的应用的掌握情况。根据题意可知,行了两天后,已行的路程与剩下的路程的比是3∶7,也就是前两天共行了全程的
,因为第一天行了全程的
,所以第二天行了全程的
,那么根据分数除法应用题的分析方法,可列式为450÷
=4500(千米)
解答:
…………7分
第十题
十、分析:本题考查了对负数意义的理解以及其应用的掌握情况。解答本题的关键是用正负数来表示具有相反意义的两种量。由题中所给图例可知,向西跳记为正,向东跳则记为负。1题,因为每格表示2 m,小兔向西跳了6 m,所以小兔现在的位置在6÷2=3处,如图:

2题,每格表示2 m,小兔在-4处,说明小兔向东跳了2×4=8(m),
3题,如果小兔先向西跳了2格在2处,又向东跳了10 m,那么说明向东跳了10÷2=5(格),小兔就在-3处,如图:

解答:
1.
…………4分
2.东 8…………4分
3.-3…………4分