2.问题解决 - (1)问题解决(一)
第1题
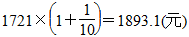
(1)7月份的销量
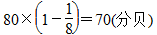
(2)计划产量 计划产量 实际比计划多的产量 计划产量 实际产量
(3) 
第2题

第3题

第4题

第5题

第6题

第7题

第8题

第9题
分析:本题考查了学生对稍复杂的分数应用题的掌握情况以及思维推理能力。要求第三天应该从多少页开始读,应先求出前两天一共读的页数。在分析过程当中,还应注意第二天读的是余下的
,所以要先求出第二天读了总页数的几分之几,
,那么两天一共读的页数就是
。第三天就应该从90页的下一页开始读,也就是第90+1=91(页)。
解答:
…………3分
×240=90(页)…………3分
90+1=91(页)…………3分
答:第三天应该从91页开始读。…………1分