1.分数乘法 - (2)一个数乘分数
第1题

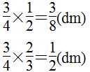
第2题

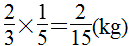
第3题

第4题

第5题

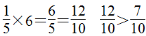
第6题
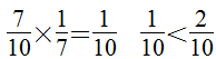
> < < < = <
第7题

第8题

第9题

第10题

第11题
分析:本题考查了学生对一个数乘分数计算方法的掌握以及分数大小比较的方法的理解。根据题意可用两种思路来解。第一种是算出每人剩下几千克奶糖,再将具体数量进行比较。明明和亮亮都买了
kg的奶糖,明明吃了这袋奶糖的
,也就是吃了
×
=
(kg),还剩下
-
=
(kg);亮亮吃了这袋奶糖的
,也就是吃了
×
=
(kg),还剩下
-
=
(kg);
kg<
kg,所以亮亮剩下的奶糖多。第二种是算出每人剩下这袋奶糖的几分之几,再进行比较。明明吃了这袋奶糖的
,剩下这袋奶糖的1-
=
;亮亮吃了这袋奶糖的
,剩下这袋奶糖的1-
=
;因为
<
,所以亮亮剩下的奶糖多。
解答:
方法一:

亮亮剩下的奶糖多。…………2分
方法二:

亮亮剩下的奶糖多。…………2分
第12题
分析:本题考查了学生对分数乘法以及分数大小比较的掌握情况。题中给了4个算式,问哪个算式的积在
和
之间。关键在对“
和
之间”的理解,因为
,所以积应该是大于
,小于
。然后分别计算出每个算式的积,看是否在
与
之间。
不符合要求;
符合要求;
不符合要求;
不符合要求。
解答:
…………2分 不符合
…………2分 符合
…………2分 不符合
…………2分 不符合
