六年级数学(上册) - 综合全练全测
期中综合全练全测
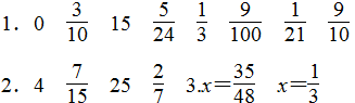
一、

4.< > = <

8.二等奖 一等奖
二、1.√ 2.√ 3.√ 4.× 5.√
三、1.A 2.A 3.C 4.B 5.A
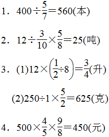
四、



解:x=100

五、

5.6×4.5=27(平方米)
月季花:

玉兰花:

期末综合全练全测
一、
1.
75
2.48 25 6
3.> = <
4.8
5.
6.9
7.36 54 90直角
8.10
9.
10.
11.90%
12.可能 不可能
二、1.× 2.× 3.√ 4.× 5.×
三、1.C 2.D 3.C 4.B 5.B
四、

4.3.14×42÷2=25.12(平方分米)
3.14×(4÷2)2÷2=6.28(平方分米)
4×4÷2=8(平方分米)
25.12-6.28-8=10.84(平方分米)
五、
1.
2.(1)(1533+2155+1300+2016+1492)÷5=1699.2(米)
(2)1300÷2155≈60%
3.120÷4=30(厘米)
3.14×(30÷2)2=706.5(平方厘米)
4.分析:乘客甲付的车费占总车费的
;乘客乙付的车费占总车费的
;乘客丙付的车费占总车费的
;乘客丁付的26元占总车费的
解答: