六年级数学(上册) - 单元全练全测
第一单元全练全测
一、1.45 3 750 2.
1 3.
4.5 5.A C 6.40
二、1.× 2.× 3.× 4.√
三、1.A 2.B 3.C 4.B 5.C 6.B
四、

五、

六、
1.400×
=240(米)
400×
=160(米)
或400-240=160(米)
2.1300÷
=10400(种)
3.(1)180×
=132(页)
(2)她第三天应从第133页开始看。
4.480×
=160(米)
(480-160)×
=192(米)
192>160 第二天铺得多
192-160=32(米)
第二单元全练全测
一、1.小 2.唱歌签 讲笑话签 3.6 相等 4.可能 5.3 2 6.黄 绿
二、1.× 2.√ 3.× 4.× 5.×
三、1.√ 2.○ 3.○ 4.× 5.○ 6.× 7.○ 8.× 9.○ 10.×
四、

六、
1.9张卡片上填写数字“2”,1张卡片上填写数字“6”。(答案不唯一)
2.(3)公平
3.1 3
4.不可能
第三单元全练全测
一、1.
3a 2.B A 3.
4.
5.9
二、1.√ 2.× 3.√ 4.√
三、1.A 2.A 3.B 4.B 5.C
四、
1.
2.
五、

六、

3.男生:42×
=24(人)
解:设后来转来女生x人。

42+2=44(人)
4.分析:结合题意画出线段图如下。

由上图可知,小明对应的分率是
用1除以它所对应的分率
,就能求出这排一共有多少人,再用这排的人数
,就能求出小明排在第几。
解答:
小明排在第9。
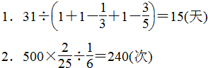
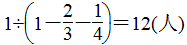
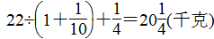
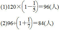
第四单元全练全测
一、1.30 6 12 2.1 5
3.400
4.37.5 22.5 843.75 5.5∶4 
6.b c a 7.36 8.60 45 9.
二、1.× 2.× 3.√ 4.× 5.√
三、1.B 2.A 3.C 4.B 5.B
五、
2.480÷4=120(厘米) 3+4+5=12
(1)120×
=50(厘米) 120×
=40(厘米)
120×
=30(厘米)
(2)50×40×30=60000(立方厘米)
3.25÷
=180(页)
4.分析:两个水池内的金鱼数量相同,可以把每个水池内金鱼的数量看作单位“1”。亮亮捞了第一个水池的
,捞了第二个水池的
,两次相差33条,即33条金鱼对应每个水池内金鱼数量的
。
解答:
=168(条)
第五单元全练全测
一、1.5 2.
3.15.7 4.4 25.12 50.24 5.3 9 6.18 9 18 92.52
二、1.× 2.× 3.√ 4.√ 5.√
三、1.B 2.C 3.A 4.A C 5.A
五、3.14×40+90×2=305.6(m)
六、1.3.14×(16÷2)2÷16=12.56(cm)
2.62.8÷3.14÷2=10(米)
选射程为10米的自动旋转喷灌装置比较合适,安装在周长为62.8米的圆形草坪的圆心位置上。
3.(1)3.14×(10÷2)2=78.5(平方厘米)
(2)10×10=100(平方厘米)
(100-78.5)÷100=
4.(1)(5+1×2)÷2=3.5(米)
5÷2=2.5(米)
3.14×(3.52-2.52)=18.84(平方米)
(2)5+1+1=7(米)
3.14×7=21.98(米)
5.2×3.14×4÷4=6.28(厘米)
3.14×42÷4=12.56(厘米)
12.56-4=8.56(厘米)
周长:12.56+4+6.28+8.56=31.4(厘米)
面积:3.14×42-3.14×42×
=37.68(平方厘米)
第六单元全练全测
一、1.10 37.5 16 2.
3.90 330 4.10 5.6 6.8 7.女生 男生 81
二、1.√ 2.× 3.√ 4.×
三、1.A 2.C 3.B 4.B 5.B
四、1.
10 21 25 4 2.
13 837 4
3.x=
x=20 x=
x=18
五、
1.

2.

3.

4.

第七单元全练全测
一、1.百分之七十六 0.9% 2.0.205 0.121 0.078 0.077 0.05 0.5 3.98
4.9 30 60 5.96 4 6.李亮 李亮的合格率高
二、1.√ 2.× 3.× 4.× 5.√
三、1.A 2.C 3.B 4.C
四、2.x=
x=10 x=4 x=120 3.
五、

25%>20% 右边杯子盐水咸一些。

18.9%>16.7% 右边杯子盐水咸一些。
2.
3.
(1)400+600+300+300=1600(元)
(2)300÷1600=18.75%
(1600-300)÷1600=81.25%
或1-18.75%=81.25%
4.
(1)六年级一班的出勤率高。
(2)不一定。因为两个班的人数不确定,所以不能确定两个班的出勤人数分别是多少,无法比较。
(3)不能。因为出勤人数最多等于全班总人数,不可能大于全班总人数。