六年级数学(上册) - 六 中国的世界遗产
1.一般分数四则混合运算
1.(1)乘 减 (2)除 加
2.


3.
4.

5.


6.342×
-4=110(千米)
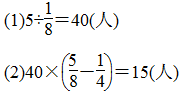
7.(1)10÷
=60(人) (2)60×
=10(人)
8.
9.
(1)65-20=45(千克)
(2)

(3)

(4)

(5)

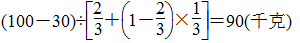
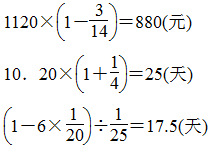
10.

2.整数运算定律的推广
1.
(1)乘 减

2.③ ④ ⑤ ①②
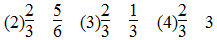
3.8 1 2
5
4.
(1)第二次植树多少棵?
(2)第一次比第二次多植树多少棵?
(3)实际比计划多植树多少棵?
5.

6.

7.

1300千克=1.3吨
8.

9.

10.

11.50+10=60(千克) 60÷
=70(千克) 70+10=80(千克)
3.稍复杂的分数乘法应用题(一)
1.(1)一袋米的质量 (2)兔的总只数 (3)玉米的种植面积 (4)全校人数
2.(1)一段公路的长度 已修公路的长度 一段公路的长度 未修公路的长度
(2)一批零件的总个数
一批零件的总个数 
(3)
5
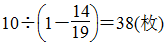
3.

4.(1)已经修了多少千米 (2)还剩多少千米没修
5.

6.

7.
200×
-30=20(处)
8.

9.96-43=53(页) 96×
-15=57(页)
96×
+5=53(页) 小刚说得对。
10.
200×
=240(吨)
240+200=440(吨)
440÷
=687.5(吨)
4.稍复杂的分数乘法应用题(二)
1.
(1)四月份的产量 四月份的产量 五月份的产量
(2)
晚报 晚报 晨报
2.(1)× (2)√ (3)× (4)√
3.(1)A (2)B (3)C
4.

5.

6.

7.

8.
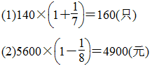
(1)3000×
+100=1900(元)
(2)3000×
=3900(元)
(3)3000+3900+1900=8800(元) 8800<9000 够
9.分析:第二天的门票收入比第一天多
,是把第一天的门票收入看作单位“1”。第三天的门票收入比第二天少
,是把第二天的门票收入看作单位“1”。先求出第二天的门票收入,再求出第三天的门票收入。
解答:第二天的门票收入:

第三天的门票收入:

5.稍复杂的分数除法应用题
2.

3.C
4.(1)电视机的原价 (2)电视机的现价是原价的几分之几 (3)电视机的原价
5.(1)解:设雪松的寿命是x年。
x+
x=3000
x=2000
(2)解:设航模小组有x人。

6.

7.

8.

9.

10.

11.解:设面值20元的人民币有x张。

智慧广场
1.

2.(1)B (2)C (3)B (4)C (5)B
3.(1)10种
(2)解:设所围成的长方形的长是x厘米。
(x+x-3)×2=6×3
x=6
x-3=3
(3)一共有2种不同的租船方法:
第一种:大船2只,小船6只。
第二种:大船5只,小船2只。
4.
小海赛了2盘。分别和小明、小华赛的。
6.有3种不同的买法:
第一种:50分的买8张,80分的买12张。
第二种:50分的买16张,80分的买7张。
第三种:50分的买24张,80分的买2张。
7.有10种不同的捐法,列表如下:

8.

9.(1)2 (2)7 (3)12 (4)17 (5)4