六年级数学(上册) - 三 布艺兴趣小组——分数除法
1.分数除以整数
1.

3.(1)× (2)√ (3)× (4)×
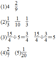
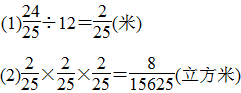
4.
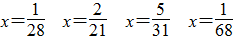
5.
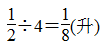
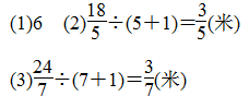
6.
7.
8.
9.

10.

11.

2.一个数除以分数
1.

2.(1)× (2)× (3)× (4)√
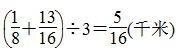
3.

4.

5.< > = < > = 小于 大于 等于
6.
A车:120÷
=80(千米/时)
B车:80÷
=100(千米/时)
C车:
D车:
120>100>90>80 D车跑得最快。
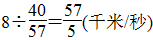
7.10÷
=60(万吨)
8.240÷
=720(袋)
9.


10.

3.解决简单的实际问题
2.(1)80×
=64(米) (2)18÷
=24(人) (3)280÷
=420(个)
3.
(1)解:设我国共有x个国家级森林公园。

(2)解:设这座金字塔刚建成时的高度约是x米。

4.(1)大象的寿命 (2)母鸡的只数
5.

6.

7.

8.

9.

10.n>m>b
4.分数乘除混合运算
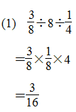
1.

2.

3.

4.(1)A (2)B (3)C
5.
6.


7.

8.

9.

10.

11.
