六年级数学(上册) - 一 小手艺展示——分数乘法
1.分数乘整数
1.

2.(1)√ (2)× (3)√ (4)×
3.
4.(1)B (2)A
5.> > = <
6.40 20 300 600 60 3500
7.900×
=500(峰)
8.80×
=72(次)
9.
×(22-1)=
(千米)
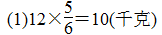
10.
×4×30=3(千克)
11.
12.(1)2 (2)
(3)
×2=1 能充满。
2.一个数乘分数
1.
2.
3.


4.(1)√ (2)× (3)× (4)√
5.

6.< = > > < > = < > < 大 等于 小
7.
8.

9.

10.有三种情况:(1)绳长等于1米时,两根绳子用去的同样长;(2)绳长大于1米时,第一根绳子用去的长一些;(3)绳长小于1米且大于
米时,第二根绳子用去的长一些。
11.
(1)150×
=50(米)
(2)150×
=90(米)
(3)150-50-90=10(米)
12.提示:年龄是2,6,7,12的最小公倍数,丢番图的年龄是84岁。
3.求一个数的几分之几是多少
1.(1)8
(2)8
(3)120 钝 90 直 (4)3
2.(1)× (2)√ (3)√
3.(1)14×
=10(千克) (2)200×
=40(米)
4.(1)一袋大米的质量 一袋大米的质量×
=用去大米的质量
(2)男生的人数 男生的人数×
=女生的人数
5.(竖排)
6.40×
=22(种)
7.
8.300×
=40(个)
9.

600×
=345(双)
600-345=255(双)
10.(1)30×
=4.5(千克) 5>4.5 超过他体重的
了。
11.32570×
≈3094(元)
12.

13.

4.连续求一个数的几分之几是多少
1.(1)AB (2)A
2.


3.
12
4.

5.

6.

7.

8.

9.

10.

11.

5.倒数的认识
1.
(1)倒数 倒数

2.(1)C (2)B (3)A
3.
4.

5.(1)× (2)√ (3)√ (4)√ (5)×
6.(1)大于0且小于1 (2)大于1 (3)等于1
7.乙<丙<甲
8.2的倒数是
。


9.(1)
(答案不唯一) (2)4和9
10.(1)
(2)20
11.13和15