六年级数学(上册) - 二 分数混合运算
1.分数混合运算(一)(1)
1.(1)C (2)C
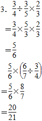
2.



5.

60+45+1=106(页)
2.分数混合运算(一)(2)
1.(1)从左到右 (2)从左到右 (3)除法 乘法
2.



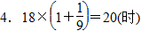
6.8×
=6(dm) 480÷8÷6=10(dm)
7.40×
=30(mL) 40-30=10(mL)
10÷2=5(mL)
3.分数混合运算(二)(1)
1.(1)4月份的产量 

2.(1)A (2)B (3)C


5.

(3)实验小学一共有学生多少人?
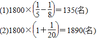
6.

200+240+80=520(吨)
4.分数混合运算(二)(2)

2.(1)小亮捐给希望工程的钱数
(2)小亮剩余的钱数占节省的零花钱总数的几分之几
(3)小亮节省的零花钱还剩多少
3.
12 30 

5.

6.

5.分数混合运算(三)(1)
1.
2.
3.(1)B (2)B
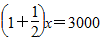
4.解:设周六植树x棵。
x-
x=270
x=360
5.957万 933万
6.

200+150=350(吨)

6.分数混合运算(三)(2)
1.
17
2.(√)( )
3.解:设一棵雪松的寿命是x年。
x=2000
4.解:设冰化成水后,体积是x dm3。
x=130
5.解:设从甲地到乙地共x km。
x=672
6.解:设大和尚有x人。
3x+(100-x)×
=100 x=25
(100-25×3)×3=75(人)