六年级数学(上册) - 专项全练全测答案
学习领域专项全练全测(一)
一、1.6 9 48 37.5
2.
3.20
4.> > <
5.1 2 3
6.五五
7.
二、1.× 2.× 3.√ 4.√ 5.×
三、1.C 2.A 3.A 4.B
四、1.
2.
3.
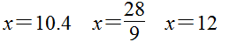
五、1.
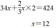
2.解:设每个大钢珠的质量是x克。

4.5∶3∶2=30∶18∶12
樱桃还剩:18-12=6(千克)
苹果需要增加:30-18=12(千克)
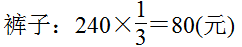
5.
学习领域专项全练全测(二)
一、1.3020 0.25 2.8 3.50 4.②④⑤⑥⑦⑧ 9 5.1000 6.2.4 65
二、1.√ 2.× 3.× 4.× 5.√
三、1.C 2.B 3.D 4.C
四、1.4 112 80 5 150 125
2.(1)表面积:(5×2+5×4+2×4)×2=76(dm2)
体积:5×2×4=40(dm3)
(2)表面积:4×4×6=96(dm2)
体积:4×4×4=64(dm3)
五、1.50×50×6=15000(平方厘米)
15000平方厘米=1.5平方米
2.8×8×(7-6)=64(cm3)
3.2×2×2×8=64(立方厘米)
4.10×7=70(平方米) 105÷70=1.5(米)
5.(1)1.5×0.8×2+1.2×0.8×2=4.32(平方米)
(2)1.35÷(1.5×1.2)=0.75(米)
薄弱环节专项全练全测(一)
一、

二、

三、1.
2.
3.
4.

5.分析:书的总本数不变,已发的书∶未发的书=1∶4⇒已发的书∶书的总本数=1∶5。又发了9本,此时,已发的书∶未发的书=2∶3⇒已发的书∶书的总本数=2∶5。由此可知9本书占书的总本数的
。

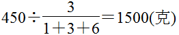
五、
1500克=1.5千克
六、1.(42+2)÷(42+2+1)≈97.8%
2.14×(70%-40%)=4.2(亿人)
七、1.方法一 把橘子替换成梨。
梨:(24+4×1.5)÷(4+2)=5(元)
橘子:5-1.5=3.5(元)
方法二 把梨替换成橘子。
橘子:(24-2×1.5)÷(4+2)=3.5(元)
梨:3.5+1.5=5(元)
2.
足球:720÷(8+6×2)=36(元)
薄弱环节专项全练全测(二)
一、1.C D C C 2.D A 3.A B B
二、1.(1)立方分米 (2)升 (3)立方厘米 (4)升
2.(1)1320 1320000 (2)2 640 (3)2.05
2050 (4)4 70
3.升 毫升
4.外面 里面
三、1.10×6×4+10×10×2+8×8×4=696(cm2)
2.8×6+8×4×2+6×4×2-20=140(平方米) 140×5=700(元)
3.(1)2×4+0.4×4+0.8×4=12.8(米)
(2)(2×0.4+2×0.8+0.4×0.8)×2=5.44(平方米)
4.4×4×2=32(平方厘米)
四、1.11.76立方分米=11760立方厘米
11760÷(28×20)=21(厘米)
21>18 能装下。
2.8分米=80厘米 4分米=40厘米
80×40×5÷4=4000(立方厘米)
3.2×2×2÷(10×8)=0.1(分米)
0.1+3=3.1(分米)
4.24厘米=0.24米
30×0.24×2=14.4(立方米)
14.4×525=7560(块)
5.(20-3×2)×(16-3×2)×3=420(立方厘米)=420(毫升)