六年级数学(上册) - 五 分数四则混合运算
1.分数四则混合运算
1.

2.

3.(1)× (2)√ (3)√ (4)× (5)×
4.

5.

6.

7.

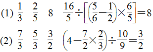
8.

9.

10.

2.用分数乘法解决实际问题
1.

2.

3.

4.

5.

6.

7.

3.用分数乘加、乘减解决实际问题
1.C D
2.

3.

4.

5.

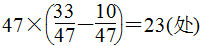
6.

1.

2.

3.(1)× (2)√ (3)√ (4)× (5)×
4.

5.

6.

7.

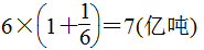
8.

9.

10.

1.

2.

3.

4.

5.

6.

7.

1.C D
2.

3.

4.

5.

6.

小学教材全练精版答案