六年级数学(上册) - 二 分数乘法
1.分数乘整数(一)
1.


2.> > = <
3.40 20 300 600 60 3500
4.(1)B (2)A
5.

6.

2.分数乘整数(二)
1.20 18 10 150
2.

3.

4.

5.

6.

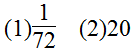
3.分数乘整数(三)
1.6 2
2.(1)文艺书 科技书比文艺书少
(2)男生 女生比男生多
(3)计划 实际比计划增加的
3.

4.

5.

6.

4.分数乘分数
1.
3.
4.< < > <
5.
6.
7.

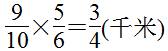
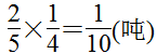
5.分数连乘
1.
2.

3.

4.

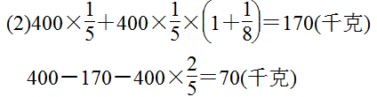
5.(1)①白糖的总质量 80
②第一天卖出的白糖的质量 10 90
③白糖的总质量 160

6.倒数的认识
1.

2.(1)× (2)√ (3)× (4)×
3.

5.(1)B (2)C (3)D
6.甲 乙
7.

8.

9.

10.

11.(1)13 15
(2)13 15
(3)15和17