三年级数学(上册) - 四 两、三位数除以一位数
1.口算整十、整百数除以一位数
1.(1)40 4 40 (2)100 100 100
2.(1)B (2)B (3)C
3.30 60 90 40 60 80
4.150 20 90
5.(1)40 a a a (2)a a a a 8
(3)4+1=5 40÷5=8(岁)
(4)9 33 42
2.两、三位数除以一位数(首位能被整除)
2.> = < = < <
3.

4.(1)

(2)

5.13 111……2
6.42÷2=21(条)
7.88÷2=44(名)
8.39÷3=13(个)
9.66÷6=11
10.(1)48÷6=8(枝)
(2)48÷8=6(元)
11.5-3=2(元) 266÷2=133(桶)
12.28-4=24(米) 24÷3=8
13.
(1)22 1 23 460
(2)11 1 12 300
3.除法的验算
1.133 266 2 133 133 266 除数 被除数
2.> > = <
3.(1)87 2 43 1 2 1 除数 余数
被除数 (2)3 2 395 (3)251
(4)(答案不唯一)580 4
4.
5.

6.(1)112 224 (2)117……2 470
(3)100……6 706 (4)121 363
7.77÷7=11(吨)
8.62÷2=31 验算:31×2=62(克)
9.47÷4=11(个)……3(根)
最多能围成11个正方形,还剩3根。
验算:11×4+3=47(根)
10.44
(1)44÷4=11(人) 验算:11×4=44(人)
(2)44÷2=22(个)
12.(1)(后三个空答案不唯一)除数 4 5 6
(2)(答案不唯一)4 4
4.两位数除以一位数
2.17 13 18 16 14 26 12 27
3.

4.16 29 37 12 12 16
5.

6.36……1
7.(1)7 1 (2)3 3 (3)2 3
8.84÷3=28(千米)
9.(1)64÷4=16
(2)110-56=54(元)
54÷4=13(个)……2(元)
最多能买13个。
11.4-2=2(千克) 10÷2=5(元)
5.三位数除以一位数(首位不能被整除)
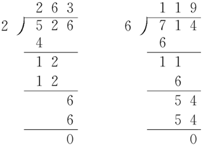
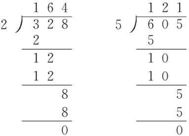
2.755÷5=151 513÷3=171

526÷2=263 714÷6=119

3.

4.

5.812÷7=116(千克)
6.726÷6=121(人)
7.500-74=426(千克) 426÷3=142(千克)
8.(1)936÷6=156(个)
(2)936÷8=117(人)
9.(1)270 160 125 125
(2)540÷4=135(束) 480÷3=160(束) 500÷5=100(束)
160>135>100,这些花最多能扎成100束。
10.

(1)2 7 (2)3 8 (3)5
6.三位数除以一位数(商是两位数)
1.273÷3=91 144÷8=18

192÷3=64 256÷8=32

2.(1)B (2)A (3)C
3.

4.155÷5=31
5.
(1)5、6、7、8、9 (2)4、3、2、1
(3)1~9中的任意一个数字
6.328÷8=41(个) 224÷4=56(个)
56>41,林林打得快。 56-41=15(个)
7.(1)105÷7=15(吨)
(2)328÷8=41(天)
8.387÷9=43(名) 43<45,够。
9.63×9+8=575 575÷6=95……5
10.(1)51 255
(2)小丽:306÷(1+8)=34(下)
小红:34×8=272(下)
7.商中间或末尾有0的除法
1.(1)107 105 (2)107 2 (3)0
(4)108 3 (5)三 0 206
2.428÷4=107 324÷3=108

532÷5=106……2 323÷3=107……2

545÷5=109 413÷2=206……1

3.(1)

(2)

(3)

(4)

4.

5.424÷4=106(页)
6.(1)A (2)C (3)B (4)B
7.542÷5=108(名)……2(名)
8.312÷3=104(个)
424÷4=106(个)
104<106,刘老师的打字速度快。
9.30瓶
10.(1)2 (2)8 6 0