四年级数学(上册) - 单元全练全测答案
第一单元全练全测
第一题
1.2 4 7 1
2.清除
3.1800550088 18亿
4.4 9
5.11112222 1111122222
第二题
1.B 2.B 3.C 4.B 5.B
第三题
1.675984万 68亿
2.五亿九千一百万 464000000
59100 6
3.240
4.3 2
5.(1)9008655<90860055<98060055<98070083
(2)6037002<6073002<6370002<6703002
第四题
1.√ 2.× 3.× 4.×
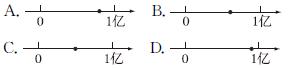
5.分析:
10个1千万就是1亿,1亿=10千万,把10千万平均分成5份,8千万占4份,通过观察比较,A选项表示的比较准确。
解答:√…………(2分)
第五题
105992 294246 1870080 472248
第六题
1.8分=480秒
480×3=1440(亿米)=144000000(千米)
2.分析:9999中9在各个数位上的意义不同,因为它们在数位顺序表中的位置不同,计数单位也不同。每相邻两个计数单位之间的进率是10。

百位上的“9”表示的数是最低位上的“9”表示的数的100倍。
解答:意义不相同,因为“9”所在的数位不同,计数单位也不同,表示的意义也就不同。100倍。…………(8分)
3.(1)696009000 九位数 (2)六亿九千六百万九千
4.94999 85000
5.(1)4000567 (2)4056007 (3)4050607 (4)6000457 [(2)和(3)答案不唯一]
第二、三单元全练全测
第一题
1.0 无限 1 2 长度
2.量角器 度
【※浙江专用】平 直 钝 锐
3.90 30
4.4 600 80
5.2 12 6
第二题
④⑩ ②⑨ ①⑧⑫
第三题

第四题
1.× 2.√ 3.× 4.× 5.√
第五题
1.C 2.A
3.分析:通过观察,图中的30°角、直角(90°)和∠1组成了一个平角,平角是180°,由此推出:30°+90°+∠1=180°,所以∠1=60°。
解答:B…………(3分)
4.分析:已知把平角分成两个角,一个角是钝角,判断另一个角。因为平角是180°的角,钝角是大于90°而小于180°的角,所以平角的度数减去钝角的度数得到的角的度数一定小于90°,而小于90°的角就是锐角。(在判断时也可用具体数证明)
解答:B…………(3分)
第七题
④<③<②<①<⑤
第八题
12 8 1 3
第九题
1.60°
2.60°
3.分析:可设∠1和∠2中间的角为∠3,如图,
通过观察发现:
∠1+∠3=180°,∠3+∠2=180°。又知∠1=60°,由此推出:
∠3=120°。
∠2+∠3=180°,由此推出:∠2=60°。
解答:如图,∠3=180°-∠1=180°-60°=120°,
∠2=180°-∠3=180°-120°=60°。…………(8分)
第四单元全练全测
第一题
1.160 320
3.78×5=390 2
4.960 960 15 480
5.= < > =
第二题
1.× 2.√ 3.×
4.分析:两个末尾没有0的因数相乘,例如,142×25=3550,积的末尾有0,所以“两个因数的末尾没有0,它们的积的末尾也一定没有0”这句话是错误的。
解答:×…………(2分)
5.分析:两个因数相乘,如果一个因数扩大到原来的100倍,另一个因数扩大到原来的10倍,那么积扩大到原来的1000倍。所以此说法错误。
解答:×…………(2分)
第三题
1.B 2.A 3.B 4.C
第四题
(竖排)600 303 990 840 1350 36000 4200 6000
第五题
3036 28800 5248 7830 16100 9407
第六题
1.(1)750×14=10500(千克)
(2)26×600=15600(千瓦时)
2.160×11=1760(千米) 1760÷88=20(时)
3.109×90=9810(分)
4.150×26=3900(元) 103×26=2678(元) 3900+2678=6578(元)
5.分析:先要求出公园里原来长方形草坪的长,根据长方形面积=长×宽,得出长=面积÷宽,即480÷8=60(米)。现在宽增加到60米,长不变,扩大后的草坪面积是60×60=3600(平方米),比原来多3600-480=3120(平方米)
解答:480÷8=60(米)…(3分)
60×60=3600(平方米)…(3分)
3600-480=3120(平方米)…(2分)
答:扩大后的草坪面积比原来多3120平方米。…(1分)
【※浙江专用】4×6=24(平方米)
24×250=6000(元)
6000<7000 够
第五单元全练全测
第一题
1.无数 垂直线段
2.18厘米
3.平行 垂直
4.不稳定
5.1
6.无数
7.分析:通过画图、观察发现拼成的这个平行四边形的四条边的长度分别为3厘米、5厘米、3厘米、5厘米,由此推出这个平行四边形的周长为5×2+3×2=16(厘米)。

解答:16…………(2分)
第二题
1.×
2.分析:此题可通过动手画、动手剪、折一折来验证等腰梯形是不是轴对称图形,上、下底的中点所在的直线就是它的对称轴。

解答:√…………(2分)
3.× 4.× 5.×
第三题
1.A 2.A 3.A 4.C A 5.C
6.分析:直角是90°的角。由此判断直角+直角=90°+90°=180°=平角是正确的,故A正确;
平角是180°的角。钝角是大于90°而小于180°的角,由此判断平角-钝角=锐角是正确的,故C正确;
锐角是小于90°的角。假设一个锐角为30°,另一个锐角为40°,两个锐角加在一起是70°,是锐角而不是钝角;还可以假设一个锐角为70°,另一个锐角为80°,两个锐角加在一起是150°,是钝角。由此判断锐角+锐角不一定等于钝角。
解答:B…………(2分)
第四题
1.

2.(画法不唯一)

第五题
分析:如图所示,欢欢最容易抢到球,这样站不公平,因为从直线外一点到这条直线所画的所有线段中,垂直线段最短。欢欢离球最近,每个人离球的距离都不一样。

解答:欢欢 不公平 因为从直线外一点到这条直线所画的所有线段中,垂直线段最短。…………(9分)
第六题
1.平行 平行 平行四边
2.2 4
第六单元全练全测
第一题
1.7 3 8 6
2.个 十
3.8
4.商 除数 余数
5.一 两
6.7 6
7.20
第二题
1.× 2.× 3.× 4.× 5.√
第三题
1.B 2.B 3.C 4.A 5.C
第四题
1.9 5 9 50 8 10 7 7
2.13……6 4……4 50 25……6
3.1936 5 1881 55 1902 1881 1902 5 1936 55
第五题
1.14260÷62=230(米)
2.1440÷16=90(分)
3.(1)400÷18=22(本)……4(元)
最多可以买22本。
(2)42×10-400=20(元)
4.分析:已知“不小心把除数72写成了27,结果得到的商是26,余数是18。”根据“被除数=除数×商+余数”,推出被除数=27×26+18=720;被除数是720,除数是72,可求出正确的商。
解答: 27×26+18
=702+18
=720…………(2分)
720÷72=10…………(3分)
答:正确的结果是10。…………(1分)
第七、八单元全练全测
第一题
1.条形
2.9
3.11
4.乙、丙、甲、丁 78
第二题
1.分析:A安排的出场顺序是同等级对同等级的,如果同等级的不如对方,那么一定会输;B安排的出场顺序详细地分析自己与对方的情况,下—上,输;上—中,赢;中—下,赢,选择了一个赢多输少的最优策略,获胜可能性更大。
解答:B…………(5分)
2.分析:妈妈干家务活的过程可以用图示说明:

妈妈用洗衣机洗衣服的30分钟可以干其他家务活,烧开水(6分钟)+整理房间(10分钟)+给金鱼换水(7分钟)+浇花(3分钟)。
解答:A…………(5分)
第三题
1.分析:甲先取4根,以后不管乙取几根,甲每次取的根数与乙取的根数凑成5就可以获胜。
解答:69÷(1+4)=13……4 …(6分)
甲先取4根,以后不管乙取几根,甲每次取的根数与乙取的根数凑成5就可以获胜。…(4分)
2.分析:

烤面包所需要的最短时间=烤面包片数×烤每面面包所需时间(烤一片面包除外)
解答:

3.分析:
2+1+1+10=14(分)
解答:
2+1+1+10=14(分)…………(10分)
第四题
1.(2)50 (3)6
2.(1)(44+45+52+43)÷4=46(吨)