四年级数学(上册) - 六 除数是两位数的除法
1.口算除法
第1题
3 2 4 2 3 1
第2题
(竖排,从上到下)2 9 8 5 7 9 6 9 7 5
第3题
(1)6 6 (2)5 (3)1 (4)6
第4题
4 4 6 3 3 2
第5题
2 2 3 3 3 3 7 7
第6题
(1)C (2)C
第7题
120÷40=3 123÷40≈3
240÷60=4 236÷60≈4
第8题
70 60 160 20 250 50
第9题
140÷20=7(张)
第10题
340÷35≈10(秒)
第11题
分析:(1)被除数是除数的5倍,说明商是5,由已知条件知道除数比商多25,可求出除数是5+25=30;又因为被除数=商×除数,可得出被除数=5×30=150。
(3)如果被除数是除数的17倍,说明商是17,由已知条件知道除数比商多25,可求出除数是25+17=42,又因为被除数=商×除数,可得出被除数=42×17=714。
解答:(1)5 30…………(4分)
(2)150…………(2分)
(3) 714…………(4分)
第12题
分析:此题可画图解答,下图中的线段表示长为450米长的公路(1厘米线段表示50米),每隔50米安装一根路灯杆(两端都安装),通过画图得出要安装10根路灯杆,即450÷50+1=10(根)。因为公路两侧都安装路灯,所以需要10×2=20(根)。

解答:450÷50+1
=9+1
=10(根)……(5分)
10×2=20(根)……(2分)
答:这条公路一共要安装20根路灯杆。……(1分)
2.笔算除法(1)商是一位数的笔算除法(除数是整十数)
第1题

第2题
3 3 4 2 4 2
第3题
(1)A (2)A (3)D
第4题
(1)√ (2)√ (3)×
第5题
7……4 4 5……24 6……12
第6题

第7题
98÷20=4(顶)……18(元)
第8题
200÷30=6(张)……20(元)
第9题
300÷5=60(千米/时)
360÷60=6(时)
【※浙江专用】900÷30=30(元)
1200÷30=40(名)
第10题
1300-738=562(个)
562÷60=9(天)……22(个)
9+1=10(天)
第11题
(64+78)÷50=2(辆)……42(人)
2+1=3(辆)
第12题
分析:(1)根据余数必须比除数小,判断( )÷30=6……( )中的余数最大是29,又根据被除数=商×除数+余数,得出被除数=30×6+29=209。
(2)根据余数必须比除数小,判断( )÷30=13……( )中的余数最大是29,又根据被除数=商×除数+余数,得出被除数=30×13+29=419。
解答:(1)209 29 ①29 ②209
(2)419 29
2.笔算除法(2)商是一位数的笔算除法(除数是非整十数)(一)
第1题
(1)20 (2)30 (3)一 (4)22
第2题
3 8 5 7
第3题
3……6 3……76 7……7
6……10 8……6 3……20
第4题

第5题
< < = < = > > >
第6题
297÷48 281÷69
第7题
332÷44=7(辆)……24(人)
7+1=8(辆)
第8题
(1)612÷68=9(人)
(2)700÷78=8(只)……76(元)
8<9 不够
第9题
分析:这道题要求的是李阿姨买物品的数量,因为

解答:(162-18)÷18……(2分)
=144÷18
=8(件) ……(3分)
答:李阿姨这个月网购了8件物品。
第10题
285÷79=3(对)……48(元)
3×2+1=7(个)
第11题
分析:题中已知“错把除数42写成了24,结果商是9,余数是20。”根据“被除数=除数×商+余数”求出被除数=24×9+20=236;被除数是236,除数是42,可求出正确的商和余数。
解答:(1)236……(2分)
(2)236 5 26……(2分)
(3)24×9+20
=216+20
=236
236÷42=5……26 ……(6分)
2.笔算除法(3)商是一位数的笔算除法(除数是非整十数)(二)
第2题
(1)C (2)B
第3题
6 8……14 7……26 9……25
7 7……42
第4题

第5题
180÷25=7(箱)……5(千克)
第6题
分析:要想求出剩下的丝带可以做多少个小中国结,先要求出做两个大中国结用了22×2=44(米)丝带;做完两个大中国结剩下182-44=138(米)丝带; 138÷14=9(个)……12(米),所以剩下的丝带可以做9个小中国结。
解答:182-22×2=138(米)……(3分)
138÷14=9(个)……12(米) ……(4分)
答:剩下的丝带可以做9个小中国结。……(1分)
2.笔算除法(4)商是两位数的笔算除法
第1题

第2题
33 27 14 13 33 20
第3题

第4题
(1)0,1 2,3,4,5,6,7,8,9
(2)1,2,3 4,5,6,7,8,9
第5题
43 23 32 24
第6题
252÷63=4(时)
252÷84=3(时)
第7题
2736÷24=114(人)
第8题
153÷3=51(米)
1000÷51=19(分)……31(米)
19+1=20(分) 20<21 能
第9题
640÷16=40(捆) 40÷4=10(个)
第10题
28-16+1=13(天)
178÷12=14(天)……10(页)
14+1=15(天) 15>13 看不完。
第11题




2.笔算除法(5)商的变化规律
第1题
(1) ÷4 240 2 (2) ÷2 160 4
(3)乘2
第2题
16 8 4 60 10 2
第3题
(1)÷ 4 (2)÷ 20 (3)× 6
(4)5 5(答案不唯一)
第4题
70 42 7 14 42 14 14 28
第5题
(1)C (2)B (3)A
第6题
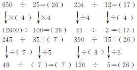
分析:
通过观察、分析发现被除数和除数同时乘相同的数(0除外),商不变。所以:
300÷100=3
750÷250=3
7500÷2500=3
75000÷25000=3

解答:3(2分) 3(2分) 3(2分)
3(2分) 3(2分)
2.笔算除法(6)应用商不变的规律简算
第1题
5 7 12 11 37 12
第2题

第3题

第4题
(1)300÷50=6(个)
(2)300÷30=10(个)
(3)分析:根据算式(300-60)÷30,分析出300是张老师带的钱数,60表示一个篮球60元,30表示一个排球30元。(300-60)表示买一个篮球剩的钱,(300-60)÷30即表示用剩下的钱可以买几个排球。
解答:张老师买了一个篮球,剩下的钱还能买几个排球?…………(2分)
第5题
(1)8 30 (2)8 300 (3)8 3000
第6题
分析:先观察,发现每组两个算式中的数都相同,只是每组中的第二个算式比第一个算式多了一个小括号,并且括号里两数的相除关系变成了相乘关系。按照运算顺序计算结果如下:

经过计算发现每组两个算式的结果都相等,由此可以总结出:一个数连续除以两个数等于这个数除以这两个数的积。
根据以上分析,10000÷125÷8÷5÷2可以转化为10000÷(125×8)÷(5×2),结果为1。
解答:(1)6 6 10 10…………(4分)
(2)10000÷125÷8÷5÷2…………(4分)
=10000÷(125×8)÷(5×2)
=10000÷1000÷10
=10000÷(1000×10)
=10000÷10000
=1