三年级数学(上册) - 八 分数的初步认识
1.分数的初步认识(1)几分之一
第1题

第2题

第3题
(1)√ (2)× (3)√ (4) ×
第4题

第5题
分析:本题考查了学生对分数概念的理解情况。题中首先给出了一个已知条件:“几个小动物住在一座正方形公寓里。”问题(1):它们所住的房间各占这座正方形公寓的几分之一?解题时只要想清楚小动物们所住的房间是把这个公寓平均分成几份得到的就可以了。观察可以发现小熊猫所住的房间是把这座正方形公寓平均分成4份得到的,所以小熊猫的房间占这座正方形公寓的
。观察可以发现小猴所住的房间是把这座公寓平均分成8份得到的,所以小猴的房间占这座正方形公寓的
,也可以通过画图来表示,如
,观察图,可以清楚地看到这座正方形公寓被平均分成了8份,小猴所住房间占其中的一份,用分数
来表示。同样的,小鹿所住的房间也是把这座正方形公寓平均分成了8份,只是平均分的方式不同,如图,
,小鹿只占8份中的一份,所以小鹿所住的房间占这座正方形公寓的
。袋鼠所住的房间是把这座正方形公寓平均分成了16份,如图,
,可见袋鼠所住房间是16份中的一份,用分数
来表示。(2)小题是说小狐狸的房间是剩下五间房中周长第二长的。问小狐狸住在几号房。这就要仔细观察图,进行推理分析来寻找答案。如图,
,观察这5个房间,会直接淘汰3、4、5这3个房间,因为它们的周长相等,且周长只是原来正方形公寓一条边的长度。将房间1和房间2进行比较,发现房间1的周长是正方形公寓一条边的长度加半条边的长度,房间2是三角形,两条直角边正好是正方形公寓一条边的长度,而斜边要大于正方形公寓的半条边的长度,所以,房间2的周长最长,房间1的周长第二长。因此,小狐狸住在1号房。
解答:
(2)1(7分)
1.分数的初步认识(2)比较几分之一的大小
第1题
(涂法不唯一)
(1)
(2)
第2题

第3题
(1)× (2) × (3) ×
第4题
分析:本题考查了学生对分子是1的分数大小比较方法的掌握情况。即分子是1的分数,分母越大,表明分的份数多,每一份反而小。也就是说,比较分子是1的分数,看分母,分母越大,分数越小。猪八戒抱回一个西瓜,孙悟空要把西瓜切开,每人吃
,而猪八戒却不要
,怎么也要
。问题(1)要求把西瓜分一下,把
涂上红色,把
涂上蓝色。那么,就要把西瓜平均分成4份,其中的1份涂上红色
,再把西瓜平均分成8份,其中的1份涂上蓝色
。(2)小题“谁吃亏了,为什么?”通过对(1)小题所画图形的观察,很明显猪八戒吃亏了。因为
<
,所以猪八戒吃的西瓜少。
解答:(1)
(6分)
(2)猪八戒吃亏了,因为
<
。(6分)
第5题
5.分析:本题考查了学生对分子是1的分数大小比较方法的掌握情况。解答本题只要比较
、
、
和
的大小就可以了。因为分子是1的分数,分母越大,分数越小;分母越小,分数越大。所以,只要比较这4个分数的分母大小就能知道分数的大小。因为2<4<6<8,所以
>
>
>
。因此,胎儿时期头部占整个身长最长,成年时期头部占整个身长最短。
解答:胎儿时期头部占整个身长最长,成年时期头部占整个身长最短。(10分)
第6题
分析:本题考查了学生对分数与整体之间关系的理解与掌握情况。题目中给出的已知条件:“甲、乙、丙三张纸条的阴影部分相等”“甲张纸条阴影部分占
”“乙张纸条阴影部分占
”“丙张纸条阴影部分占
”。根据题意,我们可以用画图的方法来还原甲、乙、丙三张纸条的长度。如图:
甲:
甲张纸条阴影部分占
,就是把甲张纸条平均分成3份,取其中的一份。
乙:
乙张纸条阴影部分占
,就是把乙张纸条平均分成4份,取其中的一份。
丙:
丙张纸条阴影部分占
,就是把丙张纸条平均分成2份,取其中的一份。
通过对还原的三张纸条的观察,发现乙张纸条最长。
解答:乙张纸条最长。(10分)
1.分数的初步认识(3)几分之几
第1题

第2题

第4题

第6题
分析:本题考查了学生对分数几分之几的认识与理解。把一个物体或图形平均分成几份,分母就是几;表示这样的几份,分子就是几。将一张长方形纸对折3次,解答本题的关键是理解对折3次后把长方形纸平均分成了几份。对折1次,是平均分成了2份;对折2次,是在2份的基础上又平均分成了2份,也就是2×2=4(份);对折3次,是在4份的基础上又平均分成了2份,也就是4×2=8(份)。所以每份是这张纸的
,5份是这张纸的
。
解答:
(3分)
(3分)
第7题
分析:本题考查了学生应用所学知识灵活解决问题的能力。题目中的问题是“下图中的阴影部分占整个长方形的几分之几?”我们通过观察,发现阴影部分可以通过旋转、平移的方法放到一侧,如图
,图中左侧的阴影部分就移到了图中右侧的空白处,从而可以清楚地看到,这是把长方形平均分成了4份,阴影部分占其中的1份,用分数表示是
。
解答:阴影部分占整个长方形的
。(6分)
第8题
分析:本题考查了学生对分数的认识与理解。根据题意可知,重叠部分占每个正方形的
,也就是每个正方形都被平均分成4份,两个正方形一共被平均分成8份。观察图形可知,整个图形中有1份是重叠的,这就告诉我们这个组合图形是被平均分成7份,重叠部分占整个图形的1份,用分数表示是
。(3)小题是对这道题的巩固练习。两个正方形的
重叠在一起,就是说重叠部分占每个正方形的
,也就是每个正方形都被平均分成6份,两个正方形一共被平均分成12份,而整个图形中有1份是重叠的,所以这个组合图形是被平均分成11份,重叠部分占整个图形的1份,用分数表示是
;没重叠的部分占整个图形的10份,用分数表示是
。
解答:(1)
4 8(3分)
(2)1 7 1
(4分)
(3)
(4分)
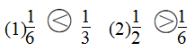
1.分数的初步认识(4)比较几分之几的大小
第1题
(1)< (2)> (3)>
第2题
(1)> (2)<
第3题
> = > < > =
第4题
(画法不唯一)
(1)

(2)

第5题
分析:本题考查了学生对分数大小比较方法的掌握情况。分数的大小比较可以从两个方面来考虑。一方面,分母相同,所占份数越多,分数越大,也就是分子越大,分数越大;另一方面,分子相同,分母越大,分数越小。题目中给了3个分数(
,
和
),要求按从大到小的顺序排列。(1)
和
分母相同,比较分子,3>1,所以
>
。(2)
和
分子相同,比较分母,4<5,所以
>
,因此,
>
>
。(3)小题要求把
,
和
按从小到大的顺序排列。
和
分母相同,比较分子,5>1,所以
<
;
和
分子相同,比较分母,8>7,所以
<
,因此
<
<
。
解答:(1)
(6分)
(2)
(6分)
(3)
(6分)
2.分数的简单计算(1)同分母分数加减法(一)
第1题


第2题

第3题

第4题

第5题

第6题
提示:(1)黄色涂3份;(2)红色涂2份;(3)绿色涂5份。
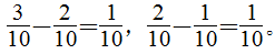
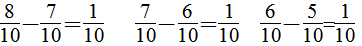
第7题
分析:本题考查了学生对分数含义及分数加、减法的理解情况,培养了学生的有序思考能力。题目问题是“下面的算式共有几种填法?”要防止有漏掉的,就要进行有序思考,也就是考虑把一组数字按从大到小或从小到大的顺序填写。第一个算式:
,这是一道同分母分数加法题,只要两个分子相加等于5就可以了。因为1+4=5,2+3=5,所以共有2种填法,即
。第二个算式:
,这是一道同分母分数减法题,只要两个分子相减等于1就可以了。因为10-9=1,9-8=1,8-7=1,7-6=1,6-5=1,5-4=1,4-3=1,3-2=1,2-1=1,所以共有9种填法,即




解答:




2.分数的简单计算(1)同分母分数加减法(一)
第1题


第2题

第3题

第4题

第5题

第6题
提示:(1)黄色涂3份;(2)红色涂2份;(3)绿色涂5份。
第7题
分析:本题考查了学生对分数含义及分数加、减法的理解情况,培养了学生的有序思考能力。题目问题是“下面的算式共有几种填法?”要防止有漏掉的,就要进行有序思考,也就是考虑把一组数字按从大到小或从小到大的顺序填写。第一个算式:
,这是一道同分母分数加法题,只要两个分子相加等于5就可以了。因为1+4=5,2+3=5,所以共有2种填法,即
。第二个算式:
,这是一道同分母分数减法题,只要两个分子相减等于1就可以了。因为10-9=1,9-8=1,8-7=1,7-6=1,6-5=1,5-4=1,4-3=1,3-2=1,2-1=1,所以共有9种填法,即




解答:




2.分数的简单计算(2)同分母分数加减法(二)
第1题
(1)8 4 10 (2)7 4 
(3)9 9
第2题

第3题

第4题

第5题
分析:本题考查了学生应用所学知识解决实际问题的能力。题目中的问题是算出这三个小朋友喝的果汁中一共加入了多少水,那么,就不能纠结于小朋友喝了多少果汁,关键是看往杯子里加了几次水,每次加了多少水。因为第一、第二个小朋友喝完半杯之后,都是再加满,所以两次加入的水量就是
+
=1(杯),而第三个小朋友把一整杯都喝了,没有再加水,所以这三个小朋友喝的果汁中一共加入了1杯水。(3)小题是如果第一个和第二个小朋友分别喝了整杯的
后加满水,则一共加入的水量就是2个
,也就是
+
=
(杯)。
解答:(1)
1(5分) (2) 1 (5分)
(3)
(5分)
3.分数的简单应用(1)认识整体的几分之几
第1题

第2题

第3题
(1)× (2) × (3)√
第4题

第5题
分析:本题考查了学生对分数含义的理解以及对求一个数的几分之几是多少问题的掌握。观察所给图可以发现,这根绳子长25米,第二次剪去
,即第二次剪去的占绳长的
,就是把25平均分成5份,求3份是多少,列式为25÷5=5(米),5×3=15(米)。
解答:15(7分)
第6题
分析:本题考查了学生对部分与整体关系的理解。题目中小玲和小明都说一口能喝这杯水的
,小玲和小明喝的都是一杯水的
,表面上来看应该喝得一样多,而实际上,我们要考虑这个整体——杯子的大小问题,杯子大小一致,喝得才一样多,而杯子大的,喝得自然就多。通过对画面上杯子的观察,发现小明的杯子大,所以小明一口喝得多一些。
解答:他们喝得不一样多,小明一口喝得多一些。(8分)
3.分数的简单应用(2)解决问题
第1题
(1)12÷6=2(个) 2×5=10(个)
(2)18÷9=2(个) 2×4=8(个)
第2题
(1)200千克 (2)16块 (3)50分钟 (4)15个
第3题

第4题
(1)4 6 9 (2)36 9 2 36÷9=4(件) 4×2=8(件)
第5题
分析:本题考查了学生对分数应用题解决方法的掌握情况。题目中已知条件给了三个,即“小红和小丽同时看一本200页的故事书”“小红看了总页数的
” “小丽看了总页数的
”,问题有两个:“她们谁看得多?”“多多少页?”解决这类问题,只要求出小红和小丽各看了多少页就可以了。因为小红看了总页数的
,就是把200平均分成了4份,小红看了其中的1份,列式为200÷4=50(页),所以小红看了50页。因为小丽看了总页数的
,就是把200平均分成了5份,小丽看了其中的1份,列式为200÷5=40(页),所以小丽看了40页。50>40,所以小红看得多。50-40=10(页),所以多看了10页。
解答: 小红:200÷4=50(页) (2分) 小丽:200÷5=40(页) (2分) 50>40(2分)
50-40=10(页) (2分) 小红看得多,多10页。(2分)