六年级数学(上册) - 专项全练全测答案
学习领域专项全练全测(一)数与代数
第一题
1.45 1250
2.4 12 28 48
【※浙江专用】x y y x
3.< > = > > < 4.20
5.90% 6.12
7.98
第二题
1.× 2.× 3.× 4.√ 5.×
第三题
1.C 2.A 3.B 4.B
5.分析:因为一个长方形的长和宽的比是7∶2,所以可设长方形的长为7xcm,则长方形的宽为2xcm,长方形的周长为36cm,可列方程为(7x+2x)×2=36,解得,x=2,所以2x=4,选A。
解答:A………………(2分)
6.C
第四题
1.8
64%

2.分析:整数乘法的交换律、结合律和分配律对于分数乘法同样适用,应用乘法的运算定律可以使一些计算简便。分数混合运算要将除法转变成乘法,再运用乘法运算定律进行简便计算;在分数除法中,若出现小数,要将小数转化成分数进行计算。
解答:






3.x=50 x=14 x=
第五题
1.112×
×
=60(棵)
2.1800÷
=2250(只)
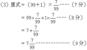
3.分析:由题可知,只够8个人吃的草莓冰激凌需要
L奶油,1㎏草莓,250g糖,所以只够1个人吃的草莓冰激凌需要
÷8=16(L)奶油,1÷8=
(kg)草莓,250÷8=31.25(g)糖。即够12个人吃的草莓冰激凌需要奶油
×12=
(L)。
因为只要用1㎏草莓,就需要用250g糖,250g=
kg所以
(kg)糖。
解答:(1)
÷8×12=
(L)………(4分)
答:她用了
L的奶油……………………(5分)
(2)
(kg)………(9分)
答:用了
kg糖。…………………(10分)
4.分析:因为第一轮结束时小明比小红多30分,第二轮小明的得分是小红的40%,两人累计分数一样多,所以第二轮小红比小明多30分,即第二轮小红得分30÷(1-40%)=50(分),小明得分50-30=20(分)。
解答:小红:30÷(1-40%)=50(分)………(4分)
小明:50-30=20(分)…………………(7分)
答:第二轮小红得50分,小明得20分。………(8分)
学习领域专项全练全测(二)图形与几何
第一题
1.(1)北 西 60° 500 (2)东 南 40° 400
2.无数 无数 3.π 4.28.26
5.1256
6.10 31.4
【※浙江专用】6.28
7.2
8.1∶2 4
第二题
1.× 2.× 3.√ 4.√
第三题
1.C 2.B
3.分析:设甲地到乙地的距离为2a,则路线A的长度为2a×π×
=aπ,路线B的长度为a×π×
+a×π×
=aπ,所以路线A的长度与路线B的长度相等,选A,同样长。
解答:A …………(2分)
4.B
5.C
【※浙江专用】B
第四题
1.西 北 30° 2 2.东 北 20° 4
第六题
1.3.14×6=18.84(cm)
2.10×10-3.14×(10÷2)2=21.5(cm2)
第七题
1.3.14×8÷2=12.56(m)
2.3.14×50×2=314(cm) 3.14×502=7850(cm2)
3.3.14×36×2=226.08(cm)
720 m=72000 cm
72000÷226.08≈319(周)
4.3.14×(6+2)2=200.96(m2) 3.14×62=113.04(m2)
200.96-113.04=87.92(m2)
5.分析:因为圆的面积和长方形的面积相等,圆的半径是4㎝,阴影部分的面积=长方形的面积-
圆的面积=圆的面积-
圆的面积=
圆的面积,所以阴影部分的面积=
πr²=
×3.14×4²=37.68(㎝²)。
解答:
πr²=3.14×4²×
=37.68(㎝²)……(6分)
答:阴影部分的面积是37.68㎝²。………………(7分)
学习领域专项全练全测(三)统计与概率
第一题
1.折线 扇形 条形 2.扇形 3.条形
4.(1)扇形 (2)50 (3)540 (4)5 2 3
第二题
1.C 2.C 3.A 4.C
第三题
1.(1)18 9 3 (2)晴
2.(1)旅游和服装 教育 饮食 (2)4200
3.(1)扇形 (2)35 (3)1000 450 200
第四题
1.(1)大卡车 150×40%=60(辆)
(2)150×32%=48(辆)
150×(1-32%-8%-40%)=30(辆)
48-30=18(辆)
2.分析:(1)由图可得,氮气体积占空气体积的78%,氧气体积占空气体积的21%,其他体积占空气体积的1%,所以在100L的空气中含有氧气100×21%=21(L);
(2)在一个长、宽、高分别为8m、6m、3m的教室内空气的体积为8×6×3=144(m³)=144000(L),所以有氧气144000×21%=30240(L)。
解答:(1)100×21%=21(L)………(4分)
答:100L空气中含有氧气21L。…………(5分)
(2)8×6×3=144(m³)=144000(L)……(7分)
144000×21%=30240(L)……………(9分)
答:大约有氧气30240L。……………………(10分)
3.(1)乒乓球 (2)羽毛球
(3)105 75 51 54 15
4.(1)西红柿:600×32%=192(m2)
黄瓜:600×25%=150(m2)
芹菜:600×15%=90(m2)
辣椒:600×28%=168(m2)
(2)8×150=1200(kg)
(3)(32%-28%)÷28%≈14.3%
薄弱环节专项全练全测(一)数与代数
第一题
分析:1题中的错因在于整数与分子约分了,故错因应选A;2题中把分母与分母的和作为分数的分母了,分子与分子的和作为分子了,故错因应选B。3题中除以
在计算时应乘
,没有乘
的倒数,故错因应选B。4题、5题都是运算顺序错误。
解答:
1.A 
2.B 
3.A 
4.B 
5.B 
第二题

第三题
分析:整数乘法的交换律、结合律和分配律对于分数乘法同样适用,应用乘法的运算定律可以使一些计算简便。计算分数混合运算时要将除法转变成乘法,再运用乘法运算定律进行简便计算;在分数混合运算中,若出现小数,要先将小数转化成分数,再进行计算。
解答:




第四题

第五题
1.× 2.√ 3.× 4.× 5.×
第六题
1.B 2.B 3.A 4.B 5.C
第七题
1.36×
=24(人)
2.160×
=92(页)
92+1=93(页) 第三天应从93页看起。
3.解:设张奶奶家养了x只鸭。
x+
x=280
x=200
4.分析:本题中A、B两个单位共捐款2.31万元,而且A单位的捐款数额是B单位的
,所以设B单位捐款x万元,则A单位捐款
x万元,可列方程为x +
x =2.31,求得x =1.26;B单位的捐款数额比C单位少25%,所以C单位捐款:1.26÷(1-25%)=1.68(万元)。
解答:
(1)解:设B单位捐款x万元。
x+
x=2.31 x=1.26 ……………(6分)
答:B单位捐款1.26万元。……………………(7分)
(2)1.26÷(1-25%)=1.68(万元)……(13分)
答:C单位捐款1.68万元。……………………(14分)
薄弱环节专项全练全测(二)图形与几何统计与概率
第一题
1.B 2.C 3.C 4.B 5.B
第二题
2.乙地在甲地的南偏西50°方向上,距离是600 km;丙地在甲地的南偏东30°方向上,距离是1200 km。
第三题
1.(1)C=3.14×10=31.4(cm)
S=3.14×
=78.5(cm2)
(2)C=2×3.14×4=25.12(cm)
S=3.14×42=50.24(cm2)
2.分析:(1)图中阴影部分的周长可以转化成大圆的周长,所以阴影部分的周长=2πr=2×3.14×5=31.4(cm);图中阴影部分的面积可转化为大半圆的面积,所以阴影部分的面积=
πr ²=
×3.14×5²=39.25(cm²)。
(2)图中阴影部分的周长可以转化成圆的周长,所以阴影部分的周长=2πr=2×3.14×5=31.4(cm);图中阴影部分的面积=正方形的面积-圆的面积,所以阴影部分的面积=10²-πr²=10²-3.14×5²=21.5(cm²)。
(3)图中阴影部分的周长可以转化成圆的周长,所以阴影部分的周长=2πr=2×3.14×6=37.68(㎝);图中阴影部分的面积=大半圆的面积-中半圆的面积-小半圆的面积,所以阴影部分的面积=
×3.14×6²-
×3.14×4²-
×3.14×2²=25.12(cm²)。
解答:(1)C=3.14×5×2=31.4(cm) …………(3分)
S=
πr²=
×3.14×5²=39.25(cm²)……(6分)
(2)C=3.14×10=31.4(cm)…………(9分)
S=10×10-3.14(10÷2)2=21.5(㎝²)……(12分)
(3)C=3.14×(4+8)=37.68(cm)…………(15分)
3.14×[(4+8)÷2]2÷2=56.52(cm2)
3.14×(8÷2)2÷2=25.12(cm2)
3.14×(4÷2)2÷2=6.28(cm2)
S=56.52-25.12-6.28=25.12(cm2) …………(18分)
第四题
1.3.14×12×10=376.8(dm) 376.8 dm=37.68 m
2.19.15 m=191.5 dm 191.5÷(3.14×1.075×2)≈29(周)
3.3.14×10+10×2=51.4(cm)
第五题
分析:本题中赞同“替代戒烟”的有20人,占总人数的10%,所以调查总人数为20÷10%=200(人)。赞同“强制戒烟”的有90人,所以占总人数的90÷200×100%=45%。又因为赞同“药物戒烟”的占总人数的15%,所以剩下的为赞同“警示戒烟”的,赞同“警示戒烟”的占总人数的1-10%-45%-15%=30%,赞同“警示戒烟”的比赞同“药物戒烟”的人数多(30%-15%)×200=30(人)。
解答:1.
2.200
3.200×(30%-15%)=30(人)